关于
个人整理用于备考的期末复习笔记
使用 mdBook 构建
github pages(更新即时)
kkghrsbsb.github.io/notes-mdbook
个人域名下(已发布,更新不太即时)
kkghrsbsb.com/notes-mdbook
页面右上角引导github仓库,有问题请发 issues
@kkghrsbsb (Xinger Yao)
Embodied AI
现代机器人学
本章节是我个人的理论笔记记录
相关视频资料
油管
b站
[中英字幕] 现代机器人学 | Modern Robotics
notes








24本科_网工专业课_秋2
汇总 2024网络工程专业本科第二学年秋季 相关课程的复习笔记与练习题。
目录说明
- 计算机组成原理:考点与重点概念。
- 计算机网络:复习提纲(含答案)
- 学习通布置习题:学习通布置练习题集合。
- 数据库概论:考试题型,简答题汇总,英译中。
- 概率论与数理统计:概念与题型考点。
- 大学物理B:物理 B 考点。
- 习概选择题:考试打印资料。
- 通用学术英语B:考试范围和题型。
计算机组成原理
复习提纲2025秋 (黄老师学习通上发的)

1. 选择题:
冯·诺伊曼计算机的相关特点,计算机硬件的组成,CPU的组成。
CPU 是如何区分指令和数据的。
能够被计算机直接识别的语言是什么?
0-1,-128等特殊值的补码。
二进制数的特点
浮点数对阶操作
DRAM和SRAM 的相关特点
几种寻址方式概念的区别,按字或半字编址,寻址范围多少,
操作码的位数和指令条数之间的关系,
机器指令和微指令的关系,控制器的相关概念
输入输出设备的判别。
DMA的相关概念,
中断响应发生在什么时候
2. 填空:
寻址方式的定义及各种不同寻址方式的概念;
AR 的概念
正确写出真值,2X,X/2,X/4等的机器数:补,原,反,移:
浮点数机器数表示及求阶差
中断源发生中断事件时对应的值如何设置才会向CPU发出中断请求信号。
中断屏蔽的概念,以及设置屏蔽字判断处理顺序
Cache的特点,以及数据传送的方式。
系统总线的分类
DMA传送方式中由什么来发出DMA请求,在传送期间总线控制权由什么来掌握
3. 简答计算题:
指令周期、机器周期和时钟周期概念及关系
微命令和微操作的概念及它们的关系。
操作码扩展
补码加减法运算判溢出。(需要完整过程)
给定浮点数真值,求浮点数机器表示和求阶差(十进制)
寻址方式的应用。
Cache地址映射应用:(直接映射画各块分配情况,计算命中率;)直接映射是否需要替换策略,为什么
CRC 校验码
4. 设计题:
字位扩展
5. 计算题:
补码加减法判溢出、比较法乘法、不恢复余数除法
计算机网络
复习范围(以整理完答案)
选择题
-
以下不属于 OSI 参考模型七层协议的是__。
A. 物理层
B. 传输层
C. 网络接口层
D. 表示层 -
TCP 协议提供的是__服务。
A. 无连接、不可靠
B. 面向连接、可靠
C. 无连接、可靠
D. 面向连接、不可靠 -
下列 IP 地址中属于私网地址的是__。
A. 192.168.1.1
B. 202.103.22.68
C. 123.23.56.89
D. 172.33.45.78 -
HTTP 协议工作在 OSI 参考模型的__。
A. 物理层
B. 网络层
C. 应用层
D. 传输层 -
用于将域名转换为 IP 地址的协议是__。
A. FTP
B. DNS
C. SMTP
D. Telnet -
以下哪种设备工作在数据链路层__。
A. 路由器
B. 集线器
C. 交换机
D. 网关 -
TCP/IP 协议簇中,负责路由选择的协议是__。
A. IP
B. TCP
C. UDP
D. ICMP -
以太网采用的介质访问控制方法是__。
A. CSMA/CD
B. TDMA
C. FDMA
D. CDMA -
下列不属于应用层协议的是__。
A. HTTP
B. TCP
C. FTP
D. SMTP -
子网掩码 255.255.255.0 对应的子网前缀长度是__。
A. /16
B. /24
C. /32
D. /8 -
IPv6 地址的长度是__位。
A. 32
B. 64
C. 128
D. 256 -
以下哪个不是 TCP 协议的标志位__。?
A. SYN
B. ACK
C. FIN
D. URG -
网络层的主要功能是__。
A. 比特流传输
B. 帧的封装与传输
C. 路由选择与转发
D. 端到端可靠传输 -
集线器(Hub)工作在 OSI 参考模型的__。
A. 物理层
B. 数据链路层
C. 网络层
D. 应用层 -
下列属于面向连接的传输层协议是__。
A. UDP
B. TCP
C. IP
D. ICMP -
DNS 协议默认使用的端口号是__。
A. 21
B. 23
C. 53
D. 80 -
以太网帧的最小长度是__字节。
A. 46
B. 64
C. 1518
D. 1500 -
用于测试网络连通性的协议是__。
A. FTP
B. Ping
C. Telnet
D. HTTP -
以下哪种拓扑结构的可靠性最高__。
A. 总线型
B. 星型
C. 环型
D. 网状型 -
TCP 协议的流量控制机制是__。
A. 滑动窗口
B. 慢开始
C. 拥塞避免
D. 超时重传 -
私网地址 172.16.0.0 的子网掩码是__ ?
A. 255.0.0.0
B. 255.255.0.0
C. 255.255.255.0
D. 255.255.240.0 -
下列协议中属于网络层协议的是__。
A. HTTP
B. TCP
C. IP
D. ARP -
交换机转发数据帧的依据是__。
A. IP 地址
B. MAC 地址
C. 端口号
D. 域名 -
UDP 协议的特点是__。
A. 面向连接、可靠
B. 无连接、不可靠
C. 面向连接、不可靠
D. 无连接、可靠 -
以下哪个不是应用层协议__。
A. SMTP
B. FTP
C. TCP
D. Telnet -
子网划分的目的是__。
A. 增加 IP 地址数量
B. 减少广播域
C. 提高网络速率
D. 简化路由配置 -
物理层的主要任务是实现__的传输。
A. 比特流
B. 帧
C. 数据包
D. 报文段 -
以下哪种设备可以连接不同网络协议的网络__。
A. 路由器
B. 交换机
C. 网关
D. 集线器 -
HTTP 协议的默认端口号是__。
A. 21
B. 23
C. 80
D. 443 -
TCP 四次挥手关闭连接时,第一次挥手发送的报文标志位是__。
A. SYN
B. ACK
C. FIN
D. RST
填空题
-
计算机网络的主要功能包括________、________ 和 ________。
-
TCP/IP 参考模型分为________与________与________ 和应用层四层。
-
数据链路层的 PDU 称为________,网络层的 PDU 称为________。
-
TCP 协议通过________ 和 ________ 机制实现拥塞控制。
-
常用的差错控制方法有________ 和 ________。
-
10BASE-T 以太网使用________ 作为传输介质,最大传输距离为________ 米。
-
ARP 协议的作用是将________ 地址转换为________ 地址。
-
子网掩码 255.255.255.224 对应的子网前缀长度是________,每个子网最多支持________ 台主机。
-
HTTPS 协议使用________ 端口进行通信,采用________ 协议进行加密。
-
典型交换技术包括报文交换、________ 和 ________ 三种交换。
-
网络协议三要素为________、________ 与 ________。
-
Windows 系统在上网时转入 DOS 状态后,可使用________ 命令来测试主机的连通性,使用________ 命令来获得目的主机的路由信息,属于网络层中________ 协议的应用。
-
现在的网络协议体系结构,是综合 OSI 和 TCP/IP 的协议体系的优点,采用五层协议的体系结构,自上而下分别为________与________与________与________ 及物理层。
《答案》
1. 数据通信、资源共享、分布式处理
2. 链路层(网络接口层)、网际层、传输层
3. 帧、IP数据报(或分组)
4. 慢开始、拥塞避免(或快重传、快恢复)
5. 前向纠错、自动重传请求
6. 双绞线、100
7. IP、MAC
8. /27、30
9. 443、SSL/TLS
10. 电路交换、分组交换
11. 语法、语义、同步
12. ping、tracert、ICMP
13. 应用层、传输层、网络层、数据链路层
简答题
1. 物理层的接口有哪几个方面的特性?各包含些什么内容?
机械特性;电气特性;功能特性;过程特性

2. 请解释一下 CSMA/CD 协议的含义,并简单叙述一下它的工作原理。
“多点接入”:总线型网络
“载波监听”:边发送边监听
“碰撞检测”:发生冲突停传
3. 为什么说 UDP 是面向报文的,而 TCP 是面向字节流的?
udp 和tcp 的特点

4. 数据链路层需要解决的三个基本问题是什么?并简单叙述一下每个基本问题的作用。
封装成帧;透明传输;差错检测(稍微论述一下)

5. 试简单说明下列协议的作用:IP、ARP 和 ICMP。

6. PPP 协议的主要特点是什么?为什么 PPP 不能使用帧的编号?PPP 适用于什么情况?
不能使用帧编号? PPP设计用于点对点链路,不存在共享信道上的冲突问题,可保持协议简单高效。
适用于什么情况? 广泛应用于广域网点对点链路,例如家庭用户通过调制解调器拨号上网
计算题部分
可对照下一章(学习通布置习题),我手写答案都放上去了
1. 香农公式类




2. CDMA 通信


3. CRC 校验计算


4. 路由表更新

5. TCP 报文

6. 地址块分配,地址范围





7. 子网主机数


计算机网络 - 习题
学习通布置的习题 截图和做题来源于这个视频,讲的真得不错
【【乱讲的】《计算机网络》(第 8 版)课后习题讲解】 https://www.bilibili.com/video/BV1kz4y1J7nu/?p=4&share_source=copy_web&vd_source=c54d80bcecab73106d2ce0f2532da83d


第 2 章 物理层
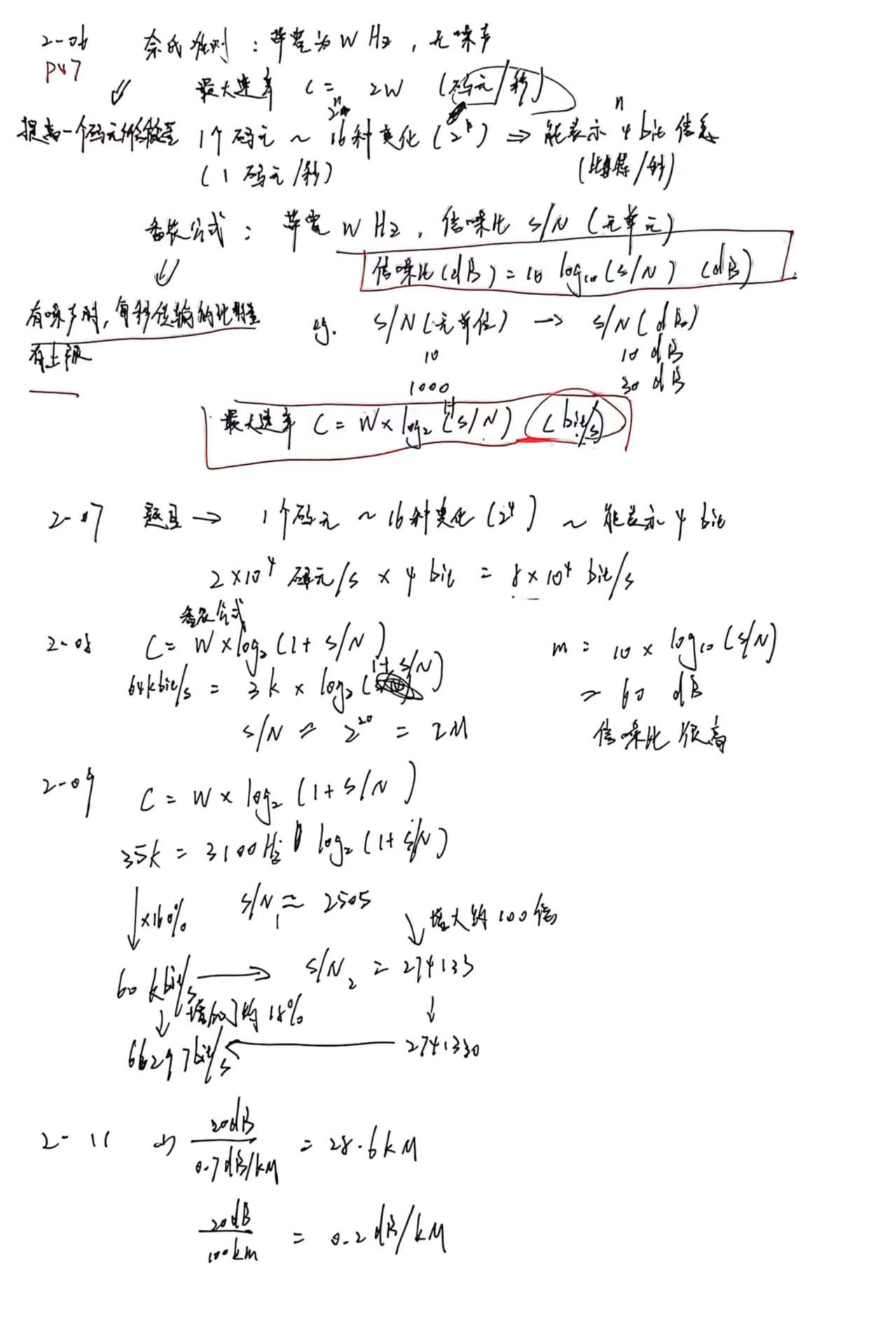
2-04,2-06,2-07,2-08,2-09,2-11,2-12,2-13,2-15,2-16











第 3 章 数据链路层
3-02,3-03,3-06,3-07,3-08,3-09,3-14,3-27










第 4 章 网络层
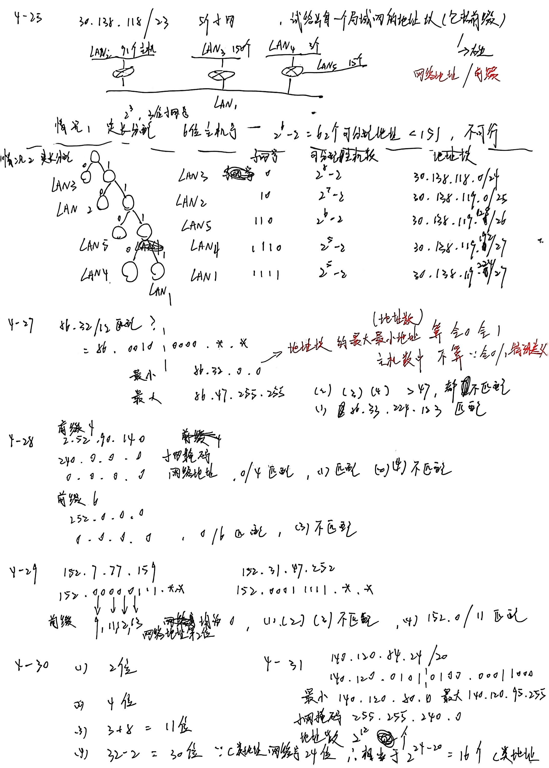
4-17,4-18,4-19,4-25,4-27,4-28,4-29,4-30,4-31,4-35,4-37,4-41,4-43

















第 5 章 运输层
5-08、5-09,5-12,5-13,5-14,5-16,5-21,5-23



下面题不在考试范围内,没有整理






第 6 章 应用层
数据库概论
一、考试题型
- 选择题(2*12=24):
绪论(1-2)、关系模式(关系代数1、其他1)、SQL(1-2)、安全性(1)、完整性(1)、关系数据理论(1-2)、数据库设计(1-2)、并发控制(1-2)、数据恢复(1) - 简答题(16):
数据库术语翻译 * 5、简答 * 2 - SQL语句(10 * 3=30): SQL(完整性约束(1题)、SELECT(6题,覆盖模糊查询、统计函数、排序、子查询、连接)、更新(2题)、视图或索引(1题))
- 关系理论(16):
闭包判断候选码 、范式 - 数据库设计(14):
ER图、关系模式、识别主码/外码
二、简答题(汇总)
- 简述数据库系统的构成
数据库系统是指引入数据库后的计算机系统,一般是指由数据库DB、数据库管理系统DBMS、应用系统和数据库管理员DBA组成的存储、管理、处理和维护数据的系统。
- 简述数据库管理员(DBA)的主要职责
数据库管理员负责数据库管理系统的运行
- 试述数据库管理系统的主要功能? 列举你所知道的DBMS
数据库管理系统是位于用于与操作系统之间的数据管理软件
主要功能包含了:数据定义;数据组织、存储和管理功能;数据操纵功能;数据库的事务管理和运行管理;数据库的建立和维护
常见的DBMS有: MySQL、 SQL Server、 Oracle、 DB2、 Access等。
- 简述数据库系统的特点, 分别例举适合数据库系统和文件系统的例子
数据库系统的特点:
整体数据的结构化
数据的共享性强、冗余度低且易于扩充
数据的独立性强
数据由数据库管理系统统一管理和控制
适用于文件系统的应用例子:
数据的备份; 软件或应用程序使用过程中的临时数据存储; 早期功能比较简单、比较固定的应用系统
适用于数据库系统的应用例子:
目前,几乎所有企业或部门的信息系统都以数据库系统为基础,都使用数据库。 如一个工厂的管理信息系统(其中会包括许多子系统,如库存管理系统、物资采购系统、作业调度系统、设备管理系统、人事管理系统等等),还比如学校的学生管理系统,人事管理系统,图书馆的图书管理系统等等都适合用数据库系统。
- 如何理解SQL语句的“非过程化”?
用SQL进行数据操纵时只要提出“做什么”,无须指明“怎么做”,因此不需要了解存取路径,存取路径的选择以及SQL的操作过程由系统自动完成。
- 什么是视图? 和基本表的区别是什么?
视图是从一个或几个基本表导出的表, 它与基本表不同, 是一个虚表, 数据库中只存放视图的定义, 而不存放视图对应的数据, 这些数据存放在原来的基本表中, 当基本表中的数据发生变化, 从视图中查询出的数据也就随之改变。
视图一经定义就可以像基本表一样被查询、 删除, 也可以在一个视图之上再定义新的视图, 但是对视图的更新操作有限制。
- 什么是数据库的完整性? 数据有哪三类完整性约束。
数据库的完整性是指数据库数据的正确性和相容性。
数据的正确性是指数据库数据符合现实语义且反应当前的实际状况。
数据库的相容性是指数据库同一对象在不同关系表中的数据是相同的,一致的
- 试述实体完整性约束的含义, 并举例说明。
关系中的每个实体必须具有一个唯一标识符,称为主键。主键不能为NULL或重复。这样可以确保每个实体都能够被唯一地标识并且在关系中存在。举例略
- 试述参照完整性约束的含义, 并举例说明。
关系之间可能会存在依赖关系,如果一个关系中的属性引用了另一个关系中的属性,那么在引用属性之前必须先保证被引用的属性存在。这就是参照完整性。举例略
- 试述用户自定义完整性约束的含义, 并举例说明。
这种完整性是由用户定义的,在关系模型中没有特定的规则。它允许用户定义任何其他的完整性限制,以确保数据的正确性和完整性。例如,某些业务规则可能要求特定属性的值必须大于零或小于某个特定值。举例略
- 简述数据库设计的六个阶段以及各个阶段的主要成果。
1.需求分析:准确了解与分析用户需求(包括数据与处理)。
2.概念结构设计:通过对用户需求进行综合、归纳与抽象,形成一个独立于具体DBMS的概念模型。
3.逻辑结构设计:将概念结构转换为某个DBMS所支持的数据模型,并对其进行优化。
4.数据库物理设计:为逻辑数据模型选取一个最适合应用环境的物理结构(包括存储结构和存取方法)。
5.数据库实施:设计人员运用DBMS提供的数据语言、工具及宿主语言,根据逻辑设计和物理设计的结果建立数据库,编制与调试应用程序,组织数据入库,并进行试运行。
6.数据库运行和维护:在数据库系统运行过程中对其进行评价、调整与修改。
- 举例说明数据的独立性。
数据的独立性强是数据库数据的一个显著优点。数据独立性已成为数据库领域的一个常用术语和重要概念,其目标是应用程序与数据(定义)相分离。数据的独立性包括数据的物理独立性和数据的逻辑独立性。
数据的物理独立性,是指用户的应用程序与数据库中数据的物理存储是相互独立的。也就是说,数据在数据库中怎样存储是由数据库管理系统管理的,用户程序不需要了解,这样当数据的物理存储改变时应用程序不用改变。 数据的逻辑独立性,是指用户的应用程序与数据库的逻辑结构是相互独立的。也就是说数据的逻辑结构改变时用户程序也可以不变。
- 什么是数据库安全性? 数据库的安全性措施有哪些?
数据库的安全性是指保护数据库,以及不合法使用所造成的数据泄露、篡改或破坏。
- 登记日志文件时为什么先写日志文件, 后写数据库?
写数据库和写日志文件是两个不同的操作, 在这两个操作之间可能发生故障。
如果先写了数据库修改,而在日志文件中没有登记下这个修改,则以后就无法恢复这个修改了
如果先写日志,但没有修改数据库,按日志文件恢复时只不过是多执行一次不必要的UNDO操作,并不会影响数据库的正确性。
- 请列举数据库故障的种类及恢复的策略和方法。
事务内部的故障(银行转账:A-20元,B+20元)
强行回滚事务
撤销该事务已经作出的任何对数据库的修改
系统故障(断电、操作系统故障)
所有非正常终止的事务回滚,强行撤销(UNDO)所有未完成事务
重做(REDO)所有已提交的事务,以将数据库真正恢复到一致状态
介质故障(磁盘损坏)
需要借助存储在其他地方的数据备份来恢复数据库
- 什么是事务? 简述事务的四个特性。
事务(Transaction)是用户定义的一个数据库操作序列,这些操作要么全做,要么全不做,是一个不可分割的工作单位。ACID特性
原子性(atomicity):事务是数据库的逻辑工作单位,事务中包括的诸操作要么都做,要么都不做
一致性(consistency):事务执行的结果必须是使数据库从一个一致性状态变到另一个一致性状态
隔离性(isolation):一个事务的执行不能被其他事务干扰,即一个事务内部的操作及使用的数据对其他并发事务是隔离的,并发执行的各个事务之间不能互相干扰。
持续性(durability ):一个事务一旦提交,它对数据库中数据的改变就应该是永久性的接下来的其他操作或故障不应该对其执行结果有任何影响。
三、英译中
数据库基础概念(Translation 1)
-
Database (DB):数据库
-
Database System (DBS):数据库系统
-
Database Management System (DBMS):数据库管理系统
-
Database Backup:数据库备份
-
Database Integrity:数据库一致性
-
Database Security:数据库安全性
-
Database Administrator (DBA):数据库管理员
-
Database Tuning:数据库调优
-
Database Schema:数据库模式
-
External Schema:外模式
-
Internal Schema:内模式
关系模型与事务控制(Translation 2)
1. 规范化与冗余
- Redundancy:冗余
- Normal Form:范式
2. 键(Key)
- Super Key:超码
- All-Key:全码
- Candidate Key:候选码
- Primary Key:主码
- Foreign Key:外码
- Prime Attribute:主属性
3. 数据与并发控制
- Data Mining:数据挖掘
- Locking:封锁
- Deadlock:死锁
4. 关系数据库基本对象
- Tuple:元组
- Entity:实体
- Attribute:属性
- Relationship:联系
- Index:索引
- View:视图
5. 事务与恢复
- Log File:日志文件
- Rollback:(事务)回滚
- Commit:(事务)提交
- Transaction:事务
6. 数据库程序对象与安全
- Trigger:触发器
- Stored Procedure:存储过程
- Grant:授权
- Revoke:权限回收
- Audit:审计
- Recovery:(数据库)恢复
数据库设计与SQL(Translation 3)
1. E-R 模型与完整性
- E-R Diagram:实体-联系图
- E-R Model:实体-联系模型
- Constraint Type:约束类型
- Entity Integrity:实体完整性约束
- User-defined Integrity:用户自定义完整性约束
- Referential Integrity:参照完整性约束
2. 数据库设计阶段
- Logical Database Design:逻辑数据库设计
- Conceptual Database Design:概念数据库设计
3. 系统分析工具
- Data Flow Diagram (DFD):数据流图
- Data Dictionary (DD):数据字典
4. SQL 与语言分类
- SQL (Structured Query Language):结构化查询语言
- Data Definition Language (DDL):数据定义语言
- Data Manipulation Language (DML):数据操纵语言
- Data Control Language (DCL):数据控制语言
SQL_自整理笔记
此文档给出考试和工程上常用的规则。 工程上要用到什么要约束什么,还是问 ai 查文档。
SQL 语法和关键字 大小写不区分
每条 SQL 语句都以 ; 结尾
语法描述上的一些符号约定 ↓
[]:表示"可有可无"
<>: 表示名称的含义
名称在 SQL 中是必须大小写区分的
模式和表
定义模式
create schema [ <模式名> ] authorization <用户名>
-- 为用户 Zhang 创建一个模式 Test,并且在其中定义一个表 Tab1
create schema Test authorization Zhang
create table Tab1(
Col1 smallint,
Col2 int,
Col3 char(20),
Col4 numeric(10, 3),
Col5 decimal(5, 2)
);
删除模式
drop schema <模式名> <cascade|restrict>
选取的两者必选其一 cascade(级联) —— 表示在删除模式的同时把该模式中所有的数据库对象全部删除; restrict(限制) —— 表示如果该模式中已经定义了数据库对象(如表、视图等),则拒绝删除语句的执行;
定义表
create table <表名>(
<列名> <数据类型> [列级完整性约束],
<列名> <数据类型> [列级完整性约束],
...
[<表级完整性约束>]
);
| 数据类型 | 描述 |
| char(n), character(n) | 字符/字符串。固定长度 n。 |
| varchar(n), character varying(n) | 字符/字符串。可变长度。最大长度 n。 |
| int(p), integer(p) | 整数值(没有小数点)。精度 p。 |
| smallint | 整数值(没有小数点)。精度 5。 |
| int, integer | 整数值(没有小数点)。精度 10。 |
| bigint | 整数值(没有小数点)。精度 19。 |
| decimal(p,s) | 精确数值,精度 p,小数点后位数 s。例如:decimal(5,2) 是一个小数点前有 3 位数,小数点后有 2 位数的数字。 |
| numeric(p,s) | 精确数值,精度 p,小数点后位数 s。(与 DECIMAL 相同) |
| float(p) | 近似数值,尾数精度 p。一个采用以 10 为基数的指数计数法的浮点数。该类型的 size 参数由一个指定最小精度的单一数字组成。 |
| real | 近似数值,尾数精度 7。 |
| float | 近似数值,尾数精度 16。 |
| double precision | 近似数值,尾数精度 16。 |
| date | 日期。存储年、月、日的值。 |
| time | 时间。存储小时、分、秒的值。 |
| timestamp | 时间戳类型。存储年、月、日、小时、分、秒的值。 |
| interval | 时间间隔类型。由一些整数字段组成,代表一段时间,取决于区间的类型。 |
| array | 元素的固定长度的有序集合 |
| multiset | 元素的可变长度的无序集合 |
| xml | 存储 XML 数据 |
[列级完整性约束]
primary key, 列指定主键约束
unique,唯一约束
not null,非空约束,默认值 NULL
default <默认值>,默认约束
auto_increment,属性值自动增加。默认情况下初始值和增量都为 1
[表级级完整性约束]
primary key(<列名1>, <列名2>),多字段联合主键
定义外键
-- 工程上写完整
[constraint <fk_子表_主表>] foreign key <子表字段> references <主表(主键)>
-- fk_子表名_主表名 在mysql中是默认命名规范

描述表
describe <表名>;
查看表的基本信息,包括:字段名、数据类型、是否有主键、是否有默认值等
下面的表是简单的描述:

NULL: 表示该列是否能存储NULL值Key: 表示该列是否已编制索引,PRI表示该列是主键一部分Default: 表示该列是否有默认值,如果有的话值是多少Extra: 表示可以获取的与给定列有关的附加信息
show create table <表名>; 查看表的详细结构
删除表
drop table <表名> [restrict|cascade]
默认选项是 restrict,存在依赖该表的对象,此表不能被删除 选择 cascade,则删除该表没有限制条件。相关的依赖对象都可能被一起删除 *每个数据库产品,
drop策略有差别
对表中字段的增/删/改(修改表)
alter table <表名>
[add[column]]<新列名><数据类型>[完整性约束] -- 加列
[add<表级完整性约束>] -- 加约束
[drop[column]<列名>[cascade|restrict]] -- 删列
[rename column <列名> to <新列名>] -- 重命名列
[alter column <列名> type <数据类型>]; -- 该列类型
书例题 p76
索引
表的索引属于内模式范畴
create[unique][cluster] index <>
on <表名>(<列名>[<次序>][,<列名>[<次序>]]...);
-- unique 表明此索引的每一个索引值只对应唯一的数据记录
-- cluster 要建立的索引是聚集索引(就是加快查询速度)
-- 列名后的次序 可选 ASC(升序)/DESC(降序)
书例题 p79
表的查询
单表查询
-- 别名一般为缩写 ,内部引用,select中的别名可以作为结果
-- 完整写应该是[as <别名>],as只是个可读性标记,可以省略
select [all|distinct] <目标列表达式> [别名], ... /*相当于投影*/
/* all —— 不去重 distinct —— 去重*/
from <表名或视图名> [别名], ...
[where <条件表达式>] /*相当于选择*/
[group by <列名> [having <条件表达式>]] /*having作用于组,where作用于表*/
/*asc —— 升序 desc —— 降序*/
[order by <列名> [asc|desc]]
[limit <行数1> [offset <行数2>]]
| 查询条件 | 谓词 |
| 比较 | =, >, <, >=, <=, <>, !>, !<; not+上述比较运算符 |
| 确定范围 | between and, not between and |
| 确定集合 | in, not in <元组/子查询> |
| 字符匹配 | like, not like <含通配符的字符串(%任意长度,_任意单个字符)> |
| 空值 | is null, is not null |
| 多重条件(逻辑运算) | and, or, not |
| 聚集函数 | 作用 |
| count(*) | 统计元组个数 |
| count([distinct|all]<列名>) | 统计一列中值的个数 |
| sum([distinct|all]<列名>) | 计算一列值的总和(此列必须是数值列) |
| avg([distinct|all]<列名>) | 计算一列值的平均值(此列必须是数值列) |
| max([distinct|all]<列名>) | 求一列值中的最大值 |
| min([distinct|all]<列名>) | 求一列值中的最小值 |
where 子句不能用聚集函数作为条件表达式,要么就用子查询
group by 子句 常和 select 中用聚集函数绑定 ;若只是目标列,分组后只会查分组的第一行
连接查询
理论是关系代数的连接 (等值连接,非等值连接,自然连接,(左/右)外连接 * 见教材 p50)
from 多个表,where 子句里写条件(示例见教材 p92)
外连接特殊,语法是 [left|right] join <连接的表> on <条件表达式>
-- t_emp(id, name, deptId)
-- t_dept(deptId, name)
-- 查询:员工 + 部门名
SELECT e.id, e.name, d.name AS dept_name
FROM t_emp e
JOIN t_dept d -- 准备拼部门表,完整应该是INNER JOIN,缩写 JOIN,正常外连接,两边都不保留NULL值
ON e.deptId = d.deptId; -- 只有匹配的行才能拼上
-- 左外连接
-- 就算没有部门的员工也显示,非常常用
SELECT e.id, e.name, d.name AS dept_name
FROM t_emp e
LEFT JOIN t_dept d -- 完整 LEFT OUTER JOIN,缩写 LEFT JOIN
ON e.deptId = d.deptId;
嵌套查询
where 子查询(最常见)
-- 查“在技术部的员工”
SELECT *
FROM t_emp
WHERE deptId = (
SELECT deptId
FROM t_dept
WHERE name = '技术部'
);
from 子查询(当临时表用,最重要)
-- 给出每个部门人数 > 5 的部门
SELECT *
FROM (
SELECT deptId, COUNT(*) AS cnt
FROM t_emp
GROUP BY deptId
) t
WHERE t.cnt > 5;
查“存不存在”,where exists(子查询)
-- 查“有员工的部门”
SELECT *
FROM t_dept d
WHERE EXISTS (
SELECT 1
FROM t_emp e
WHERE e.deptId = d.deptId
);
“我需要一个中间结果再处理” → 子查询(FROM)
“我只关心有没有匹配” → EXISTS
“我要拼字段一起展示” → JOIN
“逻辑复杂但想分层写清楚” → 子查询
要注意的是子查询不要写出来性能开销太大,清晰且易维护
集合查询
对于多条 select 的结果集之间的集合运算(并/交/差)
SELECT name FROM t_emp WHERE deptId = 1
UNION ALL
SELECT name FROM t_emp WHERE deptId = 2;
-- 结果 = 集合A ∪ 集合B
-- union 先拼再distinct
-- union all 直接拼 (最常用)
--intersect 交集
--except / minus 差集
基于派生表的查询
把一条 select 的结果,当作一张临时表使用
SQL 没有“变量”,但你需要中间结果。派生表就是 SQL 的“中间变量”。用作结构分解
-- 先算 → 再查
SELECT *
FROM (
SELECT deptId, COUNT(*) AS cnt
FROM t_emp
GROUP BY deptId
) t
WHERE t.cnt > 5;
对数据(元组)的增/删/改(数据更新)
书例题 p108
插入数据
- 插入一个元组
insert into <表名>[(属性列 1[,<属性列 2>]...)] -- 对应常量
values (<常量 1>[,<常量 2>]...);
- 插入子查询结果
insert into <表名>[(<属性列 1>[,<属性列 2>...])]
子查询;
修改数据
update <表名>
set <列名>=<表达式>[,<列名>=<表达式>]...
[where<条件>];
删除数据
delete from <表名>
[where <条件>];
视图
书例题 p114
定义视图
- 建立视图
-- 将子查询的结果作为视图
create view <视图名>[(<列名>[,<列名>]...)]
as <子查询>
[with check option];
-- 该选项表示对视图进行 UPDATE、INSERT 和 DELETE 操作时
-- 要操作的元组满足视图定义中的谓词条件(即子查询中的条件表达式)
- 删除视图
drop view <视图名>[cascade];
cascade 级联表示把该视图和由它导出的所有视图一起删除
查询视图
DBMS 检查有效性,将视图查询转换成等价的对基本表的查询,然后再执行修正了的查询。这一转换过程称为视图消解(view resolution)。
具体看例题
更新视图
是指通过视图来插入、删除和修改数据,同样视图消解,最终是对基本表的更新操作。
视图的作用
- 视图能够对机密数据提供安全保护
- 视图对重构数据库提供了一定程度的逻辑独立性
- 视图能简化用户的操作
- 视图使用户能以多种角度看待同一个数据
大题练习






每节上课前做的课堂测试题
1.DBS 的含义是 __。
A. 数据库管理系统
B. 数据库系统
C. 对象关系数据库系统
D. 对象关系数据库
正确答案:
B
2.数据模型是 __。
A. 文件的集合
B. 记录的集合
C. 数据的集合
D. 记录及其联系的集合
正确答案:
D
3.数据库管理系统的工作不包括 __。
A. 定义数据库
B. 对已定义的数据库进行管理
C. 为定义的数据库提供操作系统
D. 数据通信
正确答案:
C
4.层次模型、网状模型和关系模型的划分原则是 __。
A. 记录长度
B. 文件的大小
C. 联系的复杂程度
D. 数据之间的联系
正确答案:
D
5.数据库技术的奠基人之一 E. F. Codd 从 1970 年起发表过多篇论文,主要论述的是 __。
A. 层次数据模型
B. 网状数据模型
C. 关系数据模型
D. 面向对象数据模型
正确答案:
C
6.下列哪个不是数据库系统必须提供的数据控制功能 __。
A. 安全性
B. 可移植性
C. 完整性
D. 并发控制
正确答案:
B
7.存储在计算机外部存储介质上的结构化数据集合,其英文名称是 __。
A. Data Dictionary(简写 DD)
B. Data Base System(简写 DBS)
C. Data Base(简写 DB)
D. Data Base Management System(简写 DBMS)
正确答案:
C
8.层次模型不能直接表示 __。
A. 1:1 联系
B. 1:n 联系
C. m:n 联系
D. 1:1 和 1:n 联系
正确答案:
C
9.在 __ 中,一个结点可以有多个双亲,结点之间可以有多种联系。
A. 网状模型
B. 关系模型
C. 层次模型
D. 以上都有
正确答案:
A
10.数据库的概念模型独立于 __。
A. 具体的机器和 DBMS
B. E-R 图
C. 信息世界
D. 现实世界
正确答案:
A
11.数据库(DB)、数据库系统(DBS)和数据库管理系统(DBMS)三者之间的关系是 __。
A. DBS 包括 DB 和 DBMS
B. DBMS 包括 DB 和 DBS
C. DB 包括 DBS 和 DBMS
D. DBS 包括 DB,也就是 DBMS
正确答案:
A
12.在 DBS 中,DBMS 和 OS 之间的关系是 __。
A. 相互调用
B. DBMS 调用 OS
C. OS 调用 DBMS
D. 并发运行
正确答案:
B
13.下列四项中,不属于数据库系统特点的是 __。
A. 数据共享
B. 数据完整性
C. 数据冗余度高
D. 数据独立性高
正确答案:
C
14.下面哪种数据模型只有一个根结点 __。
A. 概念模型
B. 层次模型
C. 关系模型
D. 网状模型
正确答案:
B
15.数据库的基本特点是 __。
A. 数据可以共享(或数据结构化);数据独立性;数据冗余大;易移植;统一管理和控制
B. 数据可以共享(或数据结构化);数据独立性;数据冗余小;易扩充;统一管理和控制
C. 数据可以共享(或数据结构化);数据互换性;数据冗余小;易扩充;统一管理和控制
D. 数据非结构化;数据独立性;数据冗余小;易扩充;统一管理和控制
正确答案:
B
16.在数据库管理技术的发展过程中,经历了人工管理阶段、文件系统阶段和数据库系统阶段。在这几个阶段中,数据独立性最高的是 __ 阶段。
A. 数据库系统
B. 文件系统
C. 人工管理
D. 数据项管理
正确答案:
A
17.概念模型是现实世界的第一层抽象,这一类模型中最著名的模型是 __。
A. 层次模型
B. 关系模型
C. 网状模型
D. 实体-关系模型
正确答案:
D
18.下述关于数据库系统的正确叙述是 __。
A. 数据库系统减少了数据的冗余
B. 数据库系统避免了一切冗余
C. 数据库系统中数据的一致性是指数据类型的一致
D. 数据库系统比文件系统能管理更多的数据
正确答案:
A
19.下列关于数据库系统特点的叙述中,错误的是:
A. 非结构化数据存储
B. 数据共享性好
C. 数据独立性高
D. 由 DBMS 统一管理
正确答案:
A
20.在数据库中,产生数据不一致的根本原因是:( )
A. 数据存储量太大
B. 没有严格保护数据
C. 未对数据进行完整性控制
D. 数据冗余
正确答案:
D
21.下面哪一个应用场景没有用到数据库技术。
A. 教务系统中的选课信息
B. 新浪微博记录用户的动态和好友的动态信息
C. 银行中的交易记录
D. 你与同学的 QQ 聊天信息
正确答案:
D
22.概念模型是现实世界的第一层抽象,这一类模型中最著名的模型是( )。
A. 关系模型
B. 层次模型
C. 网状模型
D. 实体-联系模型
正确答案:
D
23.数据库系统与文件系统的根本区别在于 ______。
A. 数据库系统中,数据可共享
B. 数据库系统中,数据冗余度小
C. 数据库系统中,整体数据结构化
D. 数据库系统中,数据库中有记录数据结构信息的数据字典
正确答案:
C
24.下列四项中,不属于数据库特点的是:
A. 数据共享
B. 数据完整性
C. 数据冗余很高
D. 数据独立性很高
正确答案:
C
25.数据库管理系统能实现对数据库中数据的查询、插入、修改和删除等操作,这种功能称为:
A. 数据定义功能
B. 数据管理功能
C. 数据操纵功能
D. 数据控制功能
正确答案:
C
26.数据库三级结构从内到外的三个层次为:
A. 外模式、模式、内模式
B. 内模式、模式、外模式
C. 模式、外模式、内模式
D. 内模式、外模式、模式
正确答案:
B
27.区分不同实体的依据是( )。
A. 名称
B. 概念
C. 属性
D. 对象
正确答案:
C
28.数据模型的三要素是:
A. 外模式、模式和内模式
B. 关系模型、层次模型、网状模型
C. 实体、属性和联系
D. 数据结构、数据操作和完整性约束
正确答案:
D
29.下列哪一个选项不是数据库命令语言( )。
A. DBA
B. DDL
C. DCL
D. DML
正确答案:
A
1.设关系 R 与关系 S 具有相同的目(或称度),且相对应的属性的值取自同一个域,则
R − (R − S) 等于 ______。
A. R ∪ S
B. R ∩ S
C. R × S
D. R − S
正确答案:
B
2.同一个关系模型的任意两个元组值 ______。
A. 不能全同
B. 可全同
C. 必须全同
D. 以上都不是
正确答案:
A
3.五种基本关系代数运算是 ______。
A. ∪ − × σ π
B. ∪ − σ π
C. ∪ ∩ × σ π
D. ∪ ∩ σ π
正确答案:
A
4.假设有关系 R 和 S,关系代数表达式
R − (R − S) 表示的是 ______。
A. R ∩ S
B. R ∪ S
C. R − S
D. R × S
正确答案:
A
5.现有关系表:
医疗(患者编号,医生编号,医生姓名,诊断日期,诊断结果,恢复情况)
的主码是 ______。
A. 患者编号,医生编号,诊断日期
B. 医生编号
C. 诊断日期
D. 患者编号
正确答案:
A
6.选择和笛卡尔积的关系运算是 ______。
A. × 和 σ
B. ⋈ 和 σ
C. × 和 −
D. π 和 ⋈
正确答案:
A
7.若 D1 = {a1, a2, a3},D2 = {1, 2, 3},
则 D1 × D2 集合中共有元组 ______ 个。
A. 6
B. 8
C. 9
D. 12
正确答案:
C
8.在关系 R 中,代数表达式 σ₃<₄ (R) 表示 ______。
A. 从 R 中选择值为 3 的分量小于第 4 个分量的元组组成的关系
B. 从 R 中选择第 3 个分量值小于第 4 个分量的元组组成的关系
C. 从 R 中选择第 3 个分量的值小于 4 的元组组成的关系
D. 从 R 中选择所有元组组成的关系
正确答案:
B
9.有两个关系 R 和 S,分别包含 15 个和 10 个元组,
那么在 R ∪ S、R − S、R ∩ S 中不可能出现的元组数目情况是 ______。
A. 15,5,10
B. 18,7,7
C. 21,11,4
D. 25,15,0
正确答案:
B
10.一般情况下,当对关系 R 和 S 进行自然连接时,
要求 R 和 S 含有一个或者多个共有的 ______。
A. 记录
B. 行
C. 属性
D. 元组
正确答案:
C
1.下列聚合函数中不忽略空值(NULL)的是 ______。
A. SUM(列名)
B. MAX(列名)
C. COUNT(*)
D. AVG(列名)
正确答案:
C
2.SQL 的 SELECT 语句中,“HAVING 条件表达式”用来筛选满足条件的 ______。
A. 列
B. 行
C. 关系
D. 分组
正确答案:
D
3.在 SQL 中,下列涉及空值的操作,不正确的是 ______。
A. AGE IS NULL
B. AGE IS NOT NULL
C. AGE = NULL
D. NOT (AGE IS NULL)
正确答案:
C
4.有关关系 S(S#, SNAME, SAGE),C(C#, CNAME),SC(S#, C#, GRADE),
要查询选修 “ACCESS” 课且年龄不小于 20 的全体学生姓名,
SELECT SNAME FROM S, C, SC WHERE 子句的内容是 ______。
A. S.S# = SC.S# AND C.C# = SC.C# AND SAGE >= 20 AND CNAME = 'ACCESS'
B. S.S# = SC.S# AND C.C# = SC.C# AND SAGE IN >= 20 AND CNAME IN 'ACCESS'
C. SAGE IN >= 20 AND CNAME IN 'ACCESS'
D. SAGE >= 20 AND CNAME = 'ACCESS'
正确答案:
A
5.在 SQL 的查询语句中,对应关系代数中“投影”运算的语句是 ______。
A. SELECT
B. FROM
C. WHERE
D. SET
正确答案:
A
6.在 SQL 语言中,属于 DML 操作命令的是 ______。
A. CREATE
B. GRANT
C. UPDATE
D. DROP
正确答案:
C
7.若用如下 SQL 语句创建一个表 student:
CREATE TABLE student
(NO CHAR(4) NOT NULL,
NAME CHAR(8) NOT NULL,
SEX CHAR(2),
AGE INT)
可以插入到 student 表中的是 ______。
A. ('1031', '曾华', '男', 23)
B. ('1031', '曾华', NULL, NULL)
C. (NULL, '曾华', '男', '23')
D. ('1031', NULL, '男', 23)
正确答案:
B
8.在 SQL 中,SELECT 语句的 “SELECT DISTINCT” 表示查询结果中 ______。
A. 属性名都不相同
B. 去掉了重复的列
C. 行都不相同
D. 属性值都不相同
正确答案:
C
9.在 SQL 中,与 “NOT IN” 等价的操作符是 ______。
A. <> ALL
B. <> SOME
C. = ALL
D. = ANY
正确答案:
A
10.学生关系模式 S(S#, Sname, Sex, Age),
要在表 S 中删除一个属性 “Age”,可选用的 SQL 语句是 ______。
A. DELETE Age FROM S
B. ALTER TABLE S DROP Age
C. UPDATE S Age
D. ALTER TABLE S 'Age'
正确答案:
B
1.下列聚合函数中不忽略空值(NULL)的是 ______。
A. SUM(列名)
B. MAX(列名)
C. COUNT(*)
D. AVG(列名)
正确答案:
C
2.SQL 的 SELECT 语句中,“HAVING 条件表达式”用来筛选满足条件的 ______。
A. 列
B. 行
C. 关系
D. 分组
正确答案:
D
3.有关关系
S(S#, SNAME, SEX),
C(C#, CNAME),
SC(S#, C#, GRADE),
要查询选修“数据库”课的全体男生姓名的 SQL 语句是
SELECT SNAME FROM S, C, SC WHERE ______。
A. S.S# = SC.S# AND C.C# = SC.C# AND SEX = '男' AND CNAME = '数据库'
B. S.S# = SC.S# AND C.C# = SC.C# AND SEX IN '男' AND CNAME IN '数据库'
C. SEX = '男' AND CNAME = '数据库'
D. S.SEX = '男' AND CNAME = '数据库'
正确答案:
A
4.SQL 中,下列涉及空值的操作,不正确的是 ______。
A. AGE IS NULL
B. AGE IS NOT NULL
C. AGE = NULL
D. NOT (AGE IS NULL)
正确答案:
C
5.对由 SELECT–FROM–WHERE–GROUP–ORDER 组成的 SQL 语句,
其在 DBMS 处理时,各子句的执行次序为 ______。
A. SELECT–FROM–GROUP–WHERE–ORDER
B. FROM–SELECT–WHERE–GROUP–ORDER
C. FROM–WHERE–GROUP–SELECT–ORDER
D. SELECT–FROM–WHERE–GROUP–ORDER
正确答案:
C
6.在 SQL 语言中,属于 DML 操作命令的是 ______。
A. CREATE
B. GRANT
C. UPDATE
D. DROP
正确答案:
C
7.在 SQL 中,SELECT 语句的 “SELECT DISTINCT” 表示查询结果中 ______。
A. 属性名都不相同
B. 去掉了重复的列
C. 行都不相同
D. 属性值都不相同
正确答案:
C
8.在数据库系统中,视图可以提供数据的 ______。
A. 完整性
B. 并发性
C. 安全性
D. 可恢复性
正确答案:
C
9.在 SQL 语言的 SELECT 语句中,能实现投影操作的是 ______。
A. SELECT
B. FROM
C. WHERE
D. GROUP BY
正确答案:
A
1.数据库的 ______ 是指数据的正确性和相容性。
A. 安全性
B. 完整性
C. 并发控制
D. 恢复
正确答案:
B
2.数据完整性保护中的约束条件主要是指 ______。
A. 用户操作权限的约束
B. 用户口令校对
C. 值的约束和结构的约束
D. 并发控制的约束
正确答案:
C
3.SQL 基本表的创建中是通过 ______ 实现参照完整性规则的。
A. 主键子句
B. 外键子句
C. 检查子句\
D. NOT NULL
正确答案:
B
4.用下面的 SQL 语句建立一个基本表:
CREATE TABLE Student(
Sno CHAR(4) NOT NULL,
Sname CHAR(8) NOT NULL,
Sex CHAR(2) NOT NULL,
Age SMALLINT
),
可以插入到表中的元组是 ______。
A. '5021', '刘祥', '男', 21
B. NULL, '刘祥', NULL, 21
C. '5021', NULL, '男', 21
D. '5021', '刘祥', NULL, NULL
正确答案:
A
5.数据库的安全性控制可以保证用户只能存取他有权存取的数据。
在授权的定义中,数据对象的 ______,授权子系统就越灵活。
A. 范围越小
B. 范围越大
C. 约束越细致
D. 范围越适中
正确答案:
A
6.用于实现数据存取安全性的 SQL 语句是 ______。
A. CREATE TABLE
B. COMMIT
C. GRANT 和 REVOKE
D. ROLLBACK
正确答案:
C
7.授权编译系统和合法性检查机制一起组成了 ______ 子系统。
A. 安全性
B. 完整性
C. 并发控制
D. 恢复
正确答案:
A
8.以下 ______ 不属于实现数据库系统安全性的主要技术和方法。
A. 存取控制技术
B. 视图技术
C. 审计技术
D. 出入机房登记和加防盗门
正确答案:
D
9.若用户 lin 已将对关系 S 修改的权限授予用户 chen,
如果要收回用户 lin 对关系 S 的修改权限,并连锁收回 chen 的权限,
则应执行的 SQL 语句是 ______。
A. REVOKE UPDATE ON S FROM lin CASCADE
B. REVOKE UPDATE ON S FROM lin CASCADE chen
C. REVOKE UPDATE ON S FROM lin RESTRICT
D. REVOKE UPDATE ON S FROM lin RESTRICT chen
正确答案:
A
10.在数据库系统中,保证数据及语义正确和有效的功能是 ______。
A. 并发控制
B. 存取控制
C. 安全控制
D. 完整性控制
正确答案:
D
11.在视图上不能完成的操作是 ______。
A. 更新视图
B. 查询
C. 在视图上定义新的表
D. 在视图上定义新的视图
正确答案:
C
12.在 SQL 中,建立视图用的命令是 ______。
A. CREATE SCHEMA
B. CREATE TABLE
C. CREATE VIEW
D. CREATE INDEX
正确答案:
C
13.SQL 语言中,删除一个视图的命令是 ______。
A. DELETE
B. DROP
C. CLEAR
D. REMOVE
正确答案:
B
14.在 SQL 语言中的视图 VIEW 是数据库的 ______。
A. 外模式
B. 模式
C. 内模式
D. 存储模式
正确答案:
A
15.在数据库系统中,视图可以提供数据的 ______。
A. 完整性
B. 并发性
C. 安全性
D. 可恢复性
正确答案:
C
1.任何一个满足 2NF 但不满足 3NF 的关系模式都不存在 ______。
A 主属性对候选键的部分依赖
B 非主属性对候选键的部分依赖
C 主属性对候选键的传递依赖
D 非主属性对候选键的传递依赖
正确答案: B
2.关系模式 R 中的属性全部是主属性,则 R 的最高范式必定是 ______。
A 2NF
B 3NF
C BCNF
D 4NF
正确答案: C
3.不存在传递函数依赖的范式至少要求是 ______。
A 2NF
B 3NF
C 4NF
D BCNF
正确答案: B
4.关系 S-D-L(sno 学号,dept 系,loc 住所)存在 ______。
A 部分函数依赖
B 传递函数依赖
C 多值依赖
D 都不对
正确答案: B
5.能够消除多值依赖引起的冗余的范式是 ______。
A 2NF
B 3NF
C 4NF
D BCNF
正确答案: C
6.关系模式 R 中若没有非主属性,则 ______。
A R 属于 2NF 但不一定属于 3NF
B R 属于 3NF 但不一定属于 BCNF
C R 属于 BCNF 但不一定属于 4NF
D R 属于 4NF
正确答案: B
7.根据关系数据库规范化理论,关系数据库中的关系要满足第一范式。下面“部门”关系中,因哪个属性而使它不满足第一范式?
部门(部门号,部门名,部门成员,部门总经理)
A 部门总经理
B 部门成员
C 部门名
D 部门号
正确答案: B
8.若关系 R 的候选码都是由单属性构成的,则 R 的最高范式必定是 ______。
A 1NF
B 2NF
C 3NF
D 无法确定
正确答案: B
9.候选码中的属性称为 ______。
A 非主属性
B 主属性
C 复合属性
D 关键属性
正确答案: B
10.设计性能较优的关系模式称为规范化,规范化的主要理论依据是 ______。
A 关系规范化理论
B 关系运算理论
C 代数运算理论
D 数理逻辑理论
正确答案: A
11.关系模式中,满足 2NF 的模式 ______。
A 可能是 1NF
B 必定是 1NF
C 必定是 3NF
D 必定是 BCNF
正确答案: B
12.设有关系 W(工号,姓名,工种,定额),将其规范化到第三范式正确的答案是 ______。
A W1(工号,姓名) W2(工种,定额)
B W1(工号,工种,定额) W2(工号,姓名)
C W1(工号,姓名,工种) W2(工种,定额)
D 以上都不对
正确答案: C
1.设有关模式 R(S, D, M),其函数依赖集:
F = { S → D,D → M },
则关系模式 R 的规范化程度最高达到 ______。
A. 3NF
B. 2NF
C. BCNF
D. 1NF
正确答案:
B
2.设有关系模式 R(A, B, C, D),其数据依赖集:
F = { (A, B) → C,C → D },
则关系模式 R 的规范化程度最高达到 ______。
A. BCNF
B. 3NF
C. 1NF
D. 2NF
正确答案:
D
3.假设关系模式 R(A, B) 属于 3NF,下列说法中 ______ 是正确的。
A. A 和 C 都是
B. 一定属于 BCNF
C. 仍存在一定的插入和删除异常
D. 一定消除了插入和删除异常
正确答案:
C
4.设有关模式 R(A, B, C),
F = { A → B,C → B },
则 R 的候选键为 ______。
A. ABC
B. BC
C. AC
D. AB
正确答案:
C
5.在关系模式 R(U, F) 中,如果 X → Y,
且不存在 X 的真子集 X₁,使 X₁ → Y,
称函数依赖 X → Y 为 ______。
A. 完全函数依赖
B. 平凡函数依赖
C. 传递函数依赖
D. 部分函数依赖
正确答案:
A
6.关系 S–D–L(sno 学号,dept 系,loc 住所)存在 ______。
A. 传递函数依赖
B. 多值依赖
C. 部分函数依赖
D. 都不对
正确答案:
A
7.在关系模式 R(A, B, C, D) 中,
有函数依赖集
F = { B → C,C → D,D → A },
则 R 能达到 ______。
A. 1NF
B. 2NF
C. 3NF
D. 以上三者都不行
正确答案:
B
8.学生表(id, name, sex, age, depart_id, depart_name),
存在的函数依赖是
id → {name, sex, age, depart_id};
dept_id → dept_name,
其满足 ________。
A. BCNF
B. 1NF
C. 2NF
D. 3NF
正确答案:
C
9.候选码中的属性称为 ________。
A. 复合属性
B. 非主属性
C. 关键属性
D. 主属性
正确答案:
D
10.设关系模式 R(A, B, C),
F 是 R 上成立的 FD 集,
F = {A → B, C → B},
R 的候选码是 ________。
A. AB
B. C
C. A
D. AC
正确答案:
D
1.数据库物理设计完成后,进入数据库实施阶段,下列各项中不属于实施阶段的工作是 ______。
A. 系统调试
B. 扩充功能
C. 加载数据
D. 建立数据库
正确答案:
B
2.如何构造出一个合适的数据逻辑结构是 ______ 主要解决的问题。
A. 关系数据库查询
B. 逻辑结构设计
C. 数据字典
D. 物理结构设计
正确答案:
B
3.概念设计的主要目标是产生数据库概念结构,该结构主要反映 ______。
A. 企业的信息需求
B. DBA 管理信息的需求
C. 应用程序开发的需求
D. 数据库的维护需求
正确答案:
A
4.公司有多个部门和多名职员,每个职员只能属于一个部门,一个部门可以有多名职员,从职员到部门的联系类型是 ______。
A. 一对一
B. 一对多
C. 多对多
D. 一对二
正确答案:
B
5.下列不属于需求分析阶段工作的是 ______。
A. 需求分析
B. 建立数据流图
C. 分析用户活动
D. 建立 E-R 图
正确答案:
D
6.下列关于数据库运行和维护的叙述中,正确的是 ______。
A. 只要数据库正式投入运行,就标志着数据库设计工作的结束
B. 数据库的维护工作就是发现错误、修改错误
C. 数据库的维护工作就是维护数据库系统的正常运行
D. 数据库正式投入运行标志着数据库运行与维护工作的开始
正确答案:
D
7.下列属于数据库物理设计工作的是 ______。
A. 选择存取路径
B. 收集和分析用户活动
C. 将 E-R 图转换为关系模式
D. 建立数据流图
正确答案:
A
8.从 E-R 模型向关系模式转换时,一个 m:n 联系转换为关系模式时,该关系的码是 ______。
A. m 端实体的码
B. m 端实体的码与 n 端实体码的组合
C. 重新选取其他属性
D. n 端实体码
正确答案:
B
9.在数据库设计中,可以很方便地把一个 E-R 模型转换为关系模型,E-R 模型与关系模型之间的联系性质为 ______。
A. 一对一
B. 一对多
C. 以上三种都不对
D. 多对多
正确答案:
C
10.若两个实体之间的联系是 1:m,则实现 1:m 联系的方法是 ______。
A. 在 “m” 端实体转换的关系中加入 “1” 端的实体转换关系的码
B. 将 “m” 端实体转换关系的码加入到 “1” 端的关系
C. 将两个实体转换成一个关系
D. 在两个实体转换的关系中,分别加入另一个关系码
正确答案:
A
11.设计数据库概念结构时,常用的数据抽象方法是聚集和 ______。
A. 概括
B. 继承
C. 分析
D. 分类
正确答案:
A
12.对数据库存储结构和存取方法的分析在 ______ 阶段。
A. 概念结构
B. 物理设计
C. 逻辑结构
D. 需求分析
正确答案:
B
13.在数据库设计中,将 E-R 图转换成关系数据模型的过程属于 ______。
A. 需求分析阶段
B. 逻辑设计阶段
C. 物理设计阶段
D. 概念设计阶段
正确答案:
B
14.数据库设计可划分为六个阶段,每个阶段都有自己的设计内容,“为哪些关系、哪些属性上建什么样的索引”这一设计内容应该属于 ______ 设计阶段。
A. 逻辑设计
B. 概念设计
C. 全局设计
D. 物理设计
正确答案:
D
15.从 E–R 模型向关系模式转换时,一个 m:n 联系转换为关系模式时,该关系的码是 ______。
A. m 端实体的码
B. m 端实体的码与 n 端实体码的组合
C. 重新选取其他属性
D. n 端实体码
正确答案:
B
16.在数据库设计中,可以很方便地把一个 E–R 模型转换为关系模型,E–R 模型与关系模型之间的联系性质为 ______。
A. 一对一
B. 一对多
C. 以上三种都不对
D. 多对多
正确答案:
C
17.若两个实体之间的联系是 1:m,则实现 1:m 联系的方法是 ______。
A. 在 m 端实体转换的关系中加入 1 端实体转换关系的码
B. 将 m 端实体转换关系的码加入到 1 端的关系
C. 将两个实体转换成一个关系
D. 在两个实体转换的关系中,分别加入另一个关系码
正确答案:
A
18.设计数据库概念结构时,常用的数据抽象方法是聚集和 ______。
A. 概括
B. 继承
C. 分析
D. 分类
正确答案:
A
19.对数据库存储结构和存取方法的分析在 ______ 阶段。
A. 概念结构
B. 物理设计
C. 逻辑结构
D. 需求分析
正确答案:
B
20.在数据库设计中,将 E–R 图转换成关系数据模型的过程属于 ______。
A. 需求分析阶段
B. 逻辑设计阶段
C. 物理设计阶段
D. 概念设计阶段
正确答案:
B
21.数据库设计可划分为六个阶段,每个阶段都有自己的设计内容,“为哪些关系、哪些属性上建立什么样的索引”这一设计内容应属于 ______ 设计阶段。
A. 逻辑设计
B. 概念设计
C. 全局设计
D. 物理设计
正确答案:
D
22.班长和学生是什么关系 ______。
A. 1 : M
B. 1 : 1
C. M : N
D. 都不是
正确答案:
A
23.数据库物理设计完成后,进入数据库实施阶段,下述工作中,______ 一般不属于实施阶段的工作。
A. 加载数据
B. 系统调试
C. 建立库结构
D. 扩充功能
正确答案:
D
24.当局部 E–R 图合并成全局 E–R 图时可能出现冲突,不属于合并冲突的是 ______。
A. 属性冲突
B. 结构冲突
C. 命名冲突
D. 语法冲突
正确答案:
D
25.数据字典中未保存下列 ______ 信息。
A. 数据库所有的文字
B. 存储模式
C. 文件存取权限
D. 模式和子模式
正确答案:
A
26.实体集书店与图书之间具有 ______ 联系。
A. 多对多
B. 多对一
C. 一对多
D. 一对一
正确答案:
A
27.关系数据库中,实现实体之间的联系是通过关系与关系之间的 ______。
A. 公共索引
B. 公共属性
C. 公共元组
D. 公共存储
正确答案:
B
概率论与数理统计
《概率论与数理统计(3学分)》复习指南
一、考试题型说明
本次考试的题型分为两种选择题和计算题,其中选择题既考查概念、思想,又考查简单的计算问题,共占60分;计算题考查本学期课程中的主要理论和方法,共占40分。具体题目和分数分配如下:
- 选择题(3×20=60分)
- 计算题(4大题共40分)
二、概念型选择题的考点说明
第三章:事件之间的关系及运算,古典概型,伯努利概型,和事件的概率。
第四章: 根据分布律求条件概率,分布函数的性质、求分布函数中的未知参数、连续型随机变量函数的密度函数。
第五章:二维连续型随机变量的边缘概率密度函数,二维正态分布线性函数的分布、二维随机变量的独立性。
第六章:常见分布的数学期望和方差,数学期望、方差的定义及性质,协方差、相关系数的定义及性质。
第七章:常用统计量的分布及数字特征,统计量的定义,简单随机抽样,样本均值服从的分布。
第八章:估计的优良性、区间估计。
第九章:假设检验的两类错误。
第十章:单因素方差分析中组间平方和的意义,线性回归模型。
三、计算题的考点说明
第三章:利用全概率公式和贝叶斯公式计算随机事件的概率;
第五章,第六章:根据二维连续型随机变量的密度函数计算协方差、方差。
第八章、第九章:单正态总体方差的置信区间,单正态总体均值的双侧假设检验。
第八章:离散型分布参数的矩估计和极大似然估计
四、关于复习和考试的几点提醒
-
复习迎考的复习题详见学习通资料库里历年试卷,请大家前往《概率论与数理统计》的课程资料处自行下载
-
考试时学生需要可以使用计算器,必须要准备填写答题卡的2B铅笔、必须要记住除学号以外的在自己班级点名册中的序号,具体填写答题卡的细节要求现场听从监考老师的安排。
大学物理B
2025-2026 秋季学期 大学物理B 期末考试复习说明
一、题型
选择题(17 道题 52 分,其中一题 4 分,其它的每题 3 分)
判断题(3 分 * 3 = 9 分)
填空题(3 分 * 3 = 9 分)
计算题(10 分 * 3 = 30 分)
二、各章分数比例
第 5 章 静电场40%左右
第 7 章 恒定磁场35%左右
第 8 章 电磁感应25%左右
三、期末考试提醒
所有题目的答案必须写在答题卡上,写在试卷上无效。其中选择题和判断题答案需用2B铅笔涂在答题卡上对应位置,填空题和解答题的答案统一写在答题卡上对应位置。
可以携带无存储功能的计算器
四、各章知识点:
具体看pdf
五、练习题


习概选择题
周六考试打印资料
题目汇总
感谢 kimi 整理 md 代码块
- 中国共产党为什么能,中国特色社会主义为什么好,归根到底是马克思主义行,是__。
A. 中国化时代化的马克思主义行
B. 中国式现代化行
C. 中华民族伟大复兴战略行
D. 人类社会发展规律行
【答案】A
- 坚持和发展中国特色社会主义,总任务是__。
A. 建设中国特色社会主义法治体系、建设法治国家
B. 实现社会主义现代化和中华民族伟大复兴,在全面建成小康社会的基础上,分两步走在本世纪中叶建成富强民主文明和谐美丽的社会主义现代化强国
C. 完善和发展中国特色社会主义制度、推进国家治理体系和治理能力现代化
D. 建设一支听党指挥、能打胜仗、作风优良的人民军队,把人民军队建设成为世界一流军队
【答案】B
- __是引领发展的第一动力。
A. 科技
B. 资本
C. 劳动力
D. 创新
【答案】D
- __,是新的时代条件下坚持和发展中国特色社会主义、推进改革开放和社会主义现代化建设的战略抉择。
A. “十个明确”
B. “五位一体”总体布局
C. “十四个坚持”
D. “四个全面”战略布局
【答案】D
- __决定中国式现代化的根本性质。
A. 依法治国
B. 人民当家作主
C. 党的领导
D. 中国特色社会主义
【答案】C
- __是中国特色社会主义最本质的特征,是中国特色社会主义制度的最大优势。
A. 人民当家作主
B. 社会主义现代化
C. 中国共产党领导
D. 全体人民共同富裕
【答案】C
- __是中国特色社会主义最本质的特征。
A. 以经济建设为中心
B. 以人为本、执政为民
C. 中国共产党的领导
D. “五位一体”总体布局
【答案】C
- __使中国社会焕发出强大的生机活力,我国用几十年时间走完了发达国家几百年走过的工业化历程,创造了经济快速发展和社会长期稳定两大奇迹,极大改变了中国的面貌、中华民族的面貌、中国人民的面貌、中国共产党的面貌,中华民族以崭新姿态屹立于世界的东方。
A. 新中国
B. 人民群众
C. 改革开放
D. 中国共产党
【答案】C
- __始终是党的生命线和根本工作路线,是我们党永葆青春活力和战斗力的重要传家宝。
A. 经济路线
B. 人民立场
C. 群众路线
D. 政治立场
【答案】C
- 我国经济已由高速增长阶段转向__,正处在转变发展方式、优化经济结构、转换增长动力的攻关期。
A. 高水平发展阶段
B. 低速阶段
C. 中高速阶段
D. 高质量发展阶段
【答案】D
- 现代化经济体系必须坚持质量第一、__优先。
A. 利益
B. 速度
C. 人才
D. 效益
【答案】D
- 习近平指出:一定要认清,中国最大的国情就是__。什么是中国特色?这就是中国特色。
A. 人口14亿
B. 人均GDP世界第二
C. 中国共产党的领导
D. 吃饭是个天大的问题
【答案】C
- __是近代以来中国人民的共同梦想,是中国共产党矢志不渝的奋斗目标。
A. 中国特色社会主义
B. 国家富强民族振兴
C. 社会主义现代化建设
D. 实现中华民族伟大复兴
【答案】D
- 要把握新的伟大斗争的历史特点,__,增强斗争本领,凝聚起全党全国各族人民的意志和力量,全力战胜一切可以预见和难以预见的风险挑战。
A. 坚定初心使命
B. 发扬斗争精神
C. 坚持人民至上
D. 坚持马克思主义
【答案】B
- 维护党中央权威和集中统一领导,最关键的是__。
A. 严明政治纪律
B. 坚决维护习近平同志党中央的核心、全党的核心地位
C. 修改党章,加强党中央权力
D. 实行民主集中制
【答案】B
- 在全面深化改革中,要增强改革的__。
A. 协同性
B. 整体性
C. 系统性
D. 同一性
【答案】A B C
- 全面地理解和把握新发展理念。
A. 要从根本宗旨上把握新发展理念,坚持以人民为中心的发展思想
B. 要从问题导向上把握新发展理念,切实解决发展不平衡不充分问题
C. 新发展理念是引领我国发展全局深刻变革的科学指引
D. 要从忧患意识上把握新发展理念,下好先手棋,打好主动仗
【答案】A B C D
- 鸦片战争以后,中国逐步成为半殖民地半封建社会,__成为中国人民的历史任务。为了完成这一历史任务,无数仁人志士前仆后继、苦苦求索。以毛泽东同志为主要代表的中国共产党人,把马克思列宁主义基本原理同中国具体实际相结合,提出经过新民主主义革命走向社会主义的正确理论,为中国革命指明了方向。
A. 争取民族独立、社会发展
B. 争取民族独立、人民解放
C. 实现国家富强、人民幸福
D. 实现国家富强、世界大同
【答案】B
- 全面深化改革的总目标是__。
A. 推进国家治理体系和治理能力现代化
B. 实现两个百年目标
C. 完善和发展中国特色社会主义制度
D. 实现中国梦
【答案】A C
- 促进区域协调发展,__。
A. 要推进以人为核心的新型城镇化,加快农业转移人口市民化
B. 要求各地区在经济发展上达到同一水平
C. 是贯彻新发展理念的重要内容,也是实现高质量发展的必然要求
D. 要深入实施区域协调发展战略、区域重大战略、主体功能区战略
【答案】A C D
- 新发展阶段是__。
A. 中国共产党带领人民迎来从站起来、富起来到强起来历史性跨越的新阶段
B. 决胜全面小康社会的阶段
C. 全面建设社会主义现代化国家、向第二个百年奋斗目标进军的重要阶段
D. 我国社会主义初级阶段历史进程中的一个重要阶段
【答案】A C D
- 改革开放是有方向、有立场、有原则的,必须__。
A. 有利于进一步解放思想、进一步解放和发展社会生产力
B. 坚持和改善党的全面领导、坚持和完善中国特色社会主义制度
C. 要保持战略定力,牢牢把握全面深化改革开放的正确方向,确保改革不改向、变革不变色
D. 坚持以人民为中心,促进社会公平正义、增进人民福祉
【答案】A B C D
- 对党的群众路线的理解,__。
A. 其内容是一切为了群众、一切依靠群众,从群众中来,到群众中去
B. 开展调查研究就是走群众路线,没有调查就没有发言权,就没有决策权
C. “知”是基础、是前提,“行”是重点、是关键
D. 群众路线是我们党始终坚持的根本工作方法
【答案】A B C D
- 当今时代,世界进入新的动荡变革期,__全局相互交织、深度互动,中国同国际社会的联系空前紧密,中国对世界的依靠、对国际事务的参与在不断加深,世界对中国的依靠、对中国的影响也在不断加深。
A. 世纪疫情大流行
B. 世界百年未有之大变局
C. 人类命运共同体建设
D. 中华民族伟大复兴战略
【答案】B D
- __是党和人民历经千辛万苦、付出巨大代价取得的根本成就,是实现中华民族伟大复兴的必由之路。
A. 中国特色社会主义
B. 改革开放
C. 中国式现代化
D. 社会主义现代化
【答案】A
- 要把__摆在国家发展全局的突出位置,顺应时代发展要求,不断开辟发展新领域新赛道,不断塑造发展新动能新优势。
A. 人民
B. 创新
C. 发展
D. 经济建设
【答案】B
- 我们党的最大政治优势是__。
A. 走中国特色社会主义道路
B. 密切联系群众
C. 人多力量大
D. 党领导一切
【答案】B
- __是新时代坚持和发展中国特色社会主义的根本立场,是贯穿党治国理政全部活动的一条红线。
A. 坚持和发展中国特色社会主义
B. 把马克思主义基本原理与中国实际相结合
C. 坚持以人民为中心
D. “五位一体”总体布局
【答案】C
- 改革开放是党和人民大踏步赶上时代的__。
A. 重要法宝
B. 关键
C. 主旋律
D. 国策
【答案】A
- __是推进现代化最坚实的根基、最深厚的力量。
A. 中华文明
B. 人民
C. 中国共产党的领导
D. 文化
【答案】B
- 党的二十大提出的__,是习近平新时代中国特色社会主义思想的世界观、方法论和贯穿其中的立场观点方法的重要体现。
A. “六个必须坚持”
B. “十个坚持”
C. “十个明确”
D. “十三个方面成就”
【答案】A
- __是我国发展新的历史方位,标志着中国特色社会主义事业进入了新的发展阶段。
A. 新时期
B. 新发展
C. 新阶段
D. 新时代
【答案】D
- 中国共产党人用自己的实践、奋斗和精神,不断揭示着__的必然趋势,不断展现着社会主义制度的优越性和共产主义的光明前景。
A. 人类文明进步
B. 人类社会发展
C. 世界和平发展
D. 不同社会制度选择
【答案】B
- 维护意识形态安全,就是要毫不动摇__,不断巩固全党全国人民团结奋斗的共同思想基础。
A. 落实意识形态工作责任制
B. 把意识形态工作的领导权、管理权、话语权牢牢掌握在党的手中
C. 坚持和巩固马克思主义在意识形态领域的指导地位
D. 及时掌握意识形态形势和动态
【答案】C
- __是“国之大者”。
A. 让人民生活幸福
B. 实现社会主义现代化
C. 人才辈出
D. 建立强大的军队
【答案】A
- 我们将秉持__的全球治理观,积极参与全球治理体系改革和建设。
A. 合作共赢
B. 相互尊重
C. 共商共建共享
D. 公平正义
【答案】C
- __是核心战斗力,是军事发展中最活跃、最具革命性的因素。
A. 改革
B. 经济
C. 科技
D. 文化
【答案】C
- __把“增强绿水青山就是金山银山的意识”写入党章。
A. 党的十八届三中全会
B. 党的十九大
C. 党的二十大
D. 党的十八大
【答案】B
- 习近平指出:绿色发展,就其要义来讲,是要解决好__问题。
A. 人与自然和谐共生
B. 生态环境保护
C. 美丽中国建设
D. 生物多样性
【答案】A
- __是工业文明发展到一定阶段的产物,是人类社会进步的重大成果。
A. 农业文明
B. 政治文明
C. 生态文明
D. 人类文明
【答案】C
- “一国两制”是一个完整的概念。“一国”是实行“两制”的__,“两制”从属和派生于“一国”并统一于“一国”之内。
A. 目标和原则
B. 方向和路径
C. 前提和基础
D. 结果和目标
【答案】C
- 全面依法治国的总抓手是__。
A. 建设中国特色社会主义法治体系,建设社会主义法治国家
B. 坚持中国共产党的领导
C. 建设中国特色社会主义法治国家
D. 建设社会主义法治国家
【答案】A
- 没有__就没有国家安全,就没有经济社会稳定运行,广大人民群众利益也难以得到保障。
A. 国家富强
B. 网络安全
C. 人民富裕
D. 社会稳定
【答案】B
- 坚持以人民为中心的发展思想,就要在高质量发展中促进共同富裕。
A. 形成中间大、两头小的橄榄型分配结构
B. 加大税收、社保、转移支付等调节力度并提高精准性
C. 正确处理效率和公平的关系
D. 构建初次分配、再分配、三次分配协调配套的基础性制度安排
【答案】A B C D
- 党的十一届三中全会以来,我国创造了__两大奇迹,极大地改变了中国的面貌。
A. 经济快速发展
B. “新四大发明”
C. 社会长期稳定
D. 民族团结
【答案】A C
- 非公有制经济包括__。
A. 个体经济
B. 外商投资经济
C. 港澳台投资经济
D. 民营经济
E. 混合所有制经济中的非国有成分和非集体成分
【答案】A B C D E
- 公有制经济包括__。
A. 国有经济
B. 混合所有制经济中的非国有成分
C. 集体经济
D. 混合所有制经济中的集体成分
【答案】A C D
- 社会主义基本经济制度包括__。
A. 按劳分配为主体、多种分配方式并存
B. 社会主义市场经济体制
C. 公有制为主体、多种所有制经济共同发展
D. 人民代表大会制度
【答案】A B C
- 全面深化改革开放,是一场全面、系统、整体的制度创新,必须着眼改革的关联性、系统性、可行性,全面系统整体推进各方面改革,包括__。
A. 坚持和完善对外开放制度机制,完善涉外经济法律和规则体系
B. 坚持和完善社会主义基本经济制度,充分发挥市场在资源配置中的决定性作用
C. 坚持和完善人民当家作主制度体系,积极发展全过程人民民主,深入推进国家治理体系和治理能力现代化,加快建设中国特色社会主义法治体系
D. 坚持和完善统筹城乡的民生保障制度和共建共治共享的社会治理制度,完善体现效率、促进公平的收入分配体系
E. 坚持和完善繁荣发展社会主义先进文化的制度,确立和坚持马克思主义在意识形态领域指导地位的根本制度
【答案】A B C D E
- 习近平新时代中国特色社会主义思想创立的时代背景是__。
A. 世界百年未有之大变局加速演进
B. 我国经济高速发展
C. 新时代中国正处于中华民族伟大复兴的关键时期
D. 中国成为世界领导角色
【答案】A C
- 推进中国式现代化,必须坚持__,坚持道不变、志不改,既不走封闭僵化的老路,也不走改旗易帜的邪路,始终坚持和发展中国特色社会主义。
A. 坚持四项基本原则
B. 坚持改革开放
C. 以经济建设为中心
D. 坚持独立自主、自力更生
【答案】A B C D
- 走过百年奋斗历程的中国共产党在革命性锻造中更加坚强有力,党的__显著增强,党同人民群众始终保持血肉联系。
A. 思想引领力
B. 群众组织力
C. 社会号召力
D. 政治领导力
【答案】A B C D
- 走过百年奋斗历程的中国共产党在革命性锻造中更加坚强有力,党的__显著增强。
A. 群众组织力
B. 政治领导力
C. 社会号召力
D. 思想引领力
【答案】A B C D
- 习近平新时代中国特色社会主义思想的主要内容包括__。
A. “十三个方面成就”
B. “十四个坚持”
C. “六个必须坚持”
D. “十个明确”
【答案】A B D
(“十个明确”侧重理论层面;“十四个坚持”侧重实践层面;“十三个方面成就”系统总结了新时代伟大实践成果。)
- 高质量发展的重大战略意义是__。
A. 高质量发展为全面建设社会主义现代化国家提供更为坚实的物质基础
B. 高质量发展是推动党的建设的必然要求
C. 高质量发展是维护国家长治久安的必然要求
D. 高质量发展是不断满足人民对美好生活需要的重要保证
【答案】A C D
- 中国共产党作为最高政治领导力量,在党和国家事业发展中居于中心地位。党的领导是__,必须贯穿到治国理政的方方面面。
A. 整体的
B. 全面的
C. 系统的
D. 规范的
【答案】A B C
- 全面深化改革开放是涉险滩、闯难关的变革,必须__。
A. 勇于破除一切不合时宜的思维定势和固有观念,深入贯彻新理念新思想新战略
B. 勇于破解我国开放型经济体制建设中的突出问题,积极适应经济全球化新趋势、世界格局新变化和我国发展新要求
C. 勇于跳出条条框框限制,破除深层次体制机制障碍和顽瘴痼疾,构建系统完备、科学规范、运行有效的制度体系
D. 勇于打破部门利益、行业利益、本位思想,坚持服从国家整体利益、服务改革发展稳定大局
【答案】A B C D
- 发展是解决我国一切问题的基础和关键,发展必须是科学发展,必须坚定不移贯彻__、共享的发展理念。
A. 绿色
B. 创新
C. 开放
D. 协调
【答案】A B C D
- 我国国防和军队建设“新三步走”战略安排是__。
A. 到本世纪中叶,把人民军队全面建成世界一流军队
B. 到2027年,实现建军一百年奋斗目标
C. 到2050年,全面实现军事作战无人化、智能化
D. 到2035年,基本实现国防和军队现代化
【答案】A B D
- 新形势下党执政面临的“四大危险”包括精神懈怠危险、__。
A. 能力不足危险
B. 脱离群众危险
C. 消极腐败危险
D. 动力不足考验
【答案】A B C
- 坚持依法治国、依宪执政,就必须__。
A. 学习西方“三权鼎立”制度
B. 坚持走“宪政”道路不动摇
C. 坚持宪法确定的人民民主专政的国体和人民代表大会的政体不动摇
D. 坚持宪法确定的中国共产党领导地位不动摇
【答案】C D
- 我国基层民主有多种多样的形式,如__。
A. 以社区居民委员会为组织形态的城市居民自治
B. 以上都对
C. 以村民委员会为组织形态的农村村民自治
D. 以职工代表大会为组织依托的企事业单位职工自治
【答案】B
- 在脱贫攻坚战中,推进“五个一批”工程,即__。
A. 易地搬迁脱贫一批
B. 社会保障兜底一批
C. 发展教育脱贫一批
D. 发展生产脱贫一批
E. 生态补偿脱贫一批
【答案】A B C D E
- 以下说法正确的是,文化繁荣兴盛是__。
A. 建设社会主义现代化强国的应有之义
B. 实现中华民族伟大复兴的精神支撑
C. 满足人民日益增长的美好生活需要的内在要求
D. 在世界文化激荡中站稳脚跟的前提基础
【答案】A B C D
- 中国特色大国外交建立在正确的__基础之上。
A. 角色观
B. 国际观
C. 大局观
D. 历史观
【答案】A C D
- 新时代人民军队使命任务是__。
A. 为巩固中国共产党领导和我国社会主义制度提供战略支撑
B. 为捍卫国家主权、统一和领土完整提供战略支撑
C. 为维护我国海外利益提供战略支撑
D. 为促进世界和平与发展提供战略支撑
【答案】A B C D
- 健全和完善社会保障体系是新时代加强社会建设的重要着力点。坚持以__为重点,推动我国社会保障体系建设进入快车道。
A. 适应流动性
B. 高质量快速发展
C. 保证可持续性
D. 增强公平性
【答案】A C D
- 百年前,中国共产党的先驱们创建了中国共产党,是中国精神的忠实继承者和坚定弘扬者,形成了__的伟大建党精神。
A. 坚持真理、坚守理想
B. 对党忠诚、不负人民
C. 不怕牺牲、英勇斗争
D. 践行初心、担当使命
【答案】A B C D
- 坚持和发展新时代__,完善正确处理新形势下人民内部矛盾机制。
A. 人民调解
B. “浦江经验”
C. “枫桥经验”
D. 社区治理
【答案】C
- 党的十八大以来,以习近平同志为核心的党中央从实现中华民族伟大复兴的全局高度,全面准确、坚定不移贯彻__的方针,推动香港由乱到治走向由治及兴的新阶段。
A. “澳人治澳”
B. 高度自治
C. “一国两制”
D. “港人治港”
【答案】C
- 走中国特色社会主义政治发展道路,必须坚持__有机统一。
A. 推进国家治理体系和治理能力现代化
B. 巩固和发展最广泛的爱国统一战线
C. 党的领导
D. 人民当家作主,依法治国
【答案】C D
- 对新安全格局和新发展格局关系的正确理解是__。
A. 新安全格局是新发展格局的重要前提和保障
B. 只有以新安全格局保障新发展格局,才能夯实我国经济发展的根基、增强发展的安全性稳定性
C. 以新安全格局保障新发展格局,必须统筹维护国家安全各类要素、各方资源、各种手段,主动塑造有利的外部安全环境
D. 只有以新安全格局保障新发展格局,才能在各种可以预见和难以预见的风险挑战中增强我国的生存力、竞争力、发展力、持续力
【答案】A B C D
- 新时代党的建设总要求是:坚持和加强党的全面领导,坚持党要管党、全面从严治党,以__为主线,以__为统领,以__为根基,以__为着力点,全面推进党的政治建设、思想建设、组织建设、作风建设、纪律建设,把制度建设贯穿其中,深入推进反腐败斗争,不断提高党的建设质量,把党建设成为始终走在时代前列、人民衷心拥护、勇于自我革命、经得起各种风浪考验、朝气蓬勃的马克思主义执政党。
A. 加强党的长期执政能力建设、先进性和纯洁性建设
B. 党的政治建设
C. 坚定理想信念宗旨
D. 调动全党积极性、主动性、创造性
E. 党风廉政建设
【答案】A B C D
- 坚持__,是坚持和加强党对宣传思想文化工作全面领导的本质要求,是发展社会主义先进文化的有力保障。
A. 中华优秀传统文化
B. 马克思主义在意识形态领域指导地位的制度
C. 中国特色社会主义共同理想
D. 社会主义的优越性
【答案】B
- __是中国共产党夺取革命、建设、改革事业胜利的重要法宝,也是实现中华民族伟大复兴的重要法宝。
A. 协商民主
B. 统一战线
C. 全过程人民民主
D. 基层民主
【答案】B
- 坚持__对人才工作的全面领导是做好人才工作的根本保证。
A. 社会
B. 党
C. 政府
D. 国家
【答案】B
- 坚持以__为理念引领全球治理体系改革。
A. 集体安全
B. 高质量发展
C. 绿色发展
D. 公平正义
【答案】D
- 人民军队必须牢固树立__这个唯一的根本的标准。
A. 军事改革
B. 战斗力
C. 军事创新
D. 政治建军
【答案】B
- 以习近平同志为核心的党中央坚定不移坚持和加强党的全面领导,坚定不移推进全面从严治党,深入推进新时代党的建设新的伟大工程,党找到了__这一跳出治乱兴衰历史周期率的第二个答案,管党治党宽松软状况得到根本扭转,我们这个世界上最大的马克思主义执政党更加团结统一、更加坚强有力。
A. 新发展理念
B. 总体国家安全观
C. 自我革命
D. 自我完善
【答案】C
- 维护制度安全,就是要毫不动摇__。
A. 推进国家治理体系和治理能力现代化
B. 坚持和完善中国特色社会主义制度
C. 坚持和完善人民代表大会制度
D. 全面深化改革
【答案】B
- 坚持马克思主义在意识形态领域指导地位的制度是中国特色社会主义制度体系的一项__。
A. 重要制度
B. 基本政策
C. 基本制度
D. 根本制度
【答案】D
- 坚持以__为指导,是当代中国哲学社会科学区别于其他哲学社会科学的根本标志。
A. 建设中国特色新型智库
B. 拒绝一切来自西方哲学社会科学的影响
C. 在学科体系、学术体系等方面体现中国特色、中国风格、中国气派
D. 马克思主义
【答案】D
- 坚持以__为底线维护国家主权、安全、发展利益。
A. 国土完整
B. 互惠互利
C. 和平发展
D. 国家核心利益
【答案】D
- 90多年来,人民军队之所以能够始终保持强大的凝聚力向心力战斗力,经受住各种考验,不断从胜利走向胜利,最根本的就是靠__。
A. 发展先进科学技术
B. 改革开放的成功
C. 中国共产党的坚强领导
D. 一不怕苦,二不怕死
【答案】C
- 全面从严治党永远在路上,党的__永远在路上。
A. 机遇和挑战
B. 制度建设
C. 社会建设
D. 自我革命
【答案】D
- __是中国特色社会主义最本质的特征,是社会主义法治最根本的保证。
A. 中国特色社会主义制度
B. 严密的法治监督体系
C. 全面深化改革
D. 党的领导
【答案】D
- 必须坚持中国特色社会主义法治道路,紧紧围绕__这个总目标。
A. 建设中国特色社会主义法治体系
B. 建设中国特色社会主义法治体系、建设社会主义法治国家
C. 建设社会主义法治国家
D. 有法可依、有法必依、违法必究、执法必严
【答案】B
- 改革开放是坚持和发展中国特色社会主义的必由之路,因为__。
A. 改革开放我国用几十年时间走完了发达国家几百年走过的工业化历程
B. 改革开放使得中华民族以崭新姿态屹立于世界的东方
C. 改革开放极大改变了中国的面貌、中华民族的面貌、中国人民的面貌、中国共产党
D. 改革开放使中国社会焕发出强大的生机活力
【答案】A B C D
- 党的十八大以来,中国特色社会主义进入新时代,这是我国发展新的__。
A. 战略格局
B. 历史维度
C. 历史方位
D. 战略方向
【答案】C
- __是党的建设的一贯要求和根本方针。
A. “四个意识”和“两个维护”
B. 勇于自我革命
C. 党要管党、从严治党
D. 与时俱进
【答案】C
- 新时代党的建设总要求是:坚持和加强党的全面领导,坚持党要管党、全面从严治党,以__为主线,以__为统领,以__为根基,以__为着力点,全面推进党的政治建设、思想建设、组织建设、作风建设、纪律建设,把制度建设贯穿其中,深入推进反腐败斗争,不断提高党的建设质量,把党建设成为始终走在时代前列、人民衷心拥护、勇于自我革命、经得起各种风浪考验、朝气蓬勃的马克思主义执政党。
A. 加强党的长期执政能力建设、先进性和纯洁性建设
B. 党的政治建设
C. 坚定理想信念宗旨
D. 调动全党积极性、主动性、创造性
E. 党风廉政建设
【答案】A B C D
- 坚持中国特色社会主义文化发展道路,必须坚持__。
A. 面向世界,吸纳外来文化
B. 举旗帜、聚民心、育新人、兴文化、展形象
C. “二为”方向、“双百”方针
D. 激发全民族文化创新创造活力
【答案】B
- 人民代表大会制度__。
A. 坚持中国共产党领导,有效保证国家沿着社会主义道路前进
B. 把党的领导、人民当家作主、依法治国有机统一起来,有效保证国家治理跳出治乱兴衰的历史周期率
C. 正确处理事关国家前途命运的一系列重大政治关系,实现国家统一高效组织各项事业,维护国家统一和民族团结
D. 坚持国家一切权力属于人民,最大限度保障人民当家作主
E. 有效保证国家政治生活既充满活力又安定有序
【答案】A B C D E
- 现代化强国,必定是__。
A. 教育强国
B. 劳动力大国
C. 人才强国
D. 科技强国
【答案】A C D
- 当今世界,和平与发展仍然是时代主题,但并不太平。、、__对世界和平与发展构成巨大威胁,霸权霸道霸凌行径有恃无恐,地区冲突和局部战争持续不断,国家安全面临的风险和挑战明显增多,家门口生乱生战的可能性增大。
A. 共赢原则
B. 强权政治
C. 霸权主义
D. 冷战思维
【答案】B C D
- 在新时代国家改革开放进程中,香港、澳门应该如何抓住发展机遇,更好融入国家发展大局。__
A. 积极主动参与粤港澳大湾区建设
B. 积极主动促进国际人文交流
C. 积极主动助力国家全面开放
D. 积极主动参与国家治理实践
【答案】A B C D
- 加强作风建设,必须__。
A. 弘扬党的光荣传统和优良作风
B. 推进作风建设常态化长效化
C. 锲而不舍落实中央八项规定精神,持续深化纠治“四风”
D. 紧紧围绕保持党同人民群众的血肉联系,增强群众观念和群众感情
E. 促进党员干部特别是领导干部带头深入调查研究
【答案】A B C D E
- 坚持以宪法为最高法律规范,完善以宪法为核心的中国特色社会主义法律体系,加强__立法,把国家各项事业和各项工作纳入法制轨道。
A. 重点领域
B. 突出领域
C. 涉外领域
D. 新兴领域
【答案】A C D
(说明:重点领域指经济、社会、环境等关键方面;新兴领域如数字经济、人工智能、数据安全等;涉外领域涉及国际交往、跨境治理等。)
- 生态环境问题,归根到底是__造成的。
A. 奢侈消费
B. 粗放利用
C. 资源过度开发
D. 生态腐败
【答案】A B C
- 建设更高水平的法治中国,必须__。
A. 完善以宪法为核心的中国特色社会主义法律体系
B. 严格公正司法
C. 扎实推进依法行政
D. 加快建设法治社会
【答案】A B C D
- 新型国际关系的内容是__。
A. 公平正义
B. 相互尊重
C. 合作共赢
D. 对抗共处
【答案】A B C
-
党的十八大以来,我国经济已由高速增长阶段转向()阶段。
A. 20蜡动力转换
B. 高质量发展
C. 世界级市场
D. 高水平开放
【答案】B -
()是中国共产党和中国人民最显著的精神标识,是中国人民创造历史伟业的必由之路。
A. 自力更生
B. 团结奋斗
C. 中国精神
D. 斗争精神
【答案】B -
()是坚持和发展中国特色社会主义的行动指南。
A. 党的基本理论
B. 党的基本方略
C. 党的基本原则
D. 党的基本路线
【答案】A -
()是新时代中国共产党的思想旗帜,是新时代党和国家事业发展的根本遵循。
A. 习近平文化思想
B. 习近平经济思想
C. 习近平法治思想
D. 习近平新时代中国特色社会主义思想
【答案】D -
党是领导一切的,是()力量。
A. 最高的政治领导
B. 主导
C. 基本
D. 根本
【答案】A -
()是国家的生命线、人民的幸福线。
A. 党的群众路线
B. 党的基本路线
C. 党的基本理论
D. 党的基本方略
【答案】B -
党的十八大后,党面临的主要任务是,实现第一个百年奋斗目标,开启实现()新征程。
A. 中国特色社会主义进入新时代
B. 社会主义现代化
C. 第二个百年奋斗目标
D. 脱贫攻坚任务的胜利
【答案】C -
加强党的()为新时代党和国家事业发展提供了坚强保证。
A. 全面领导
B. 纪律建设
C. 最高指导
D. 自我革命
【答案】A -
我们党的最大政治优势是密切联系群众,党执政后的最大危险是()。
A. 改革出问题
B. 消极腐败
C. 没有坚持公有制的主体地位
D. 脱离群众
【答案】D -
全面建设社会主义现代化国家、全面推进中华民族伟大复兴,动力在于()。
A. 团结奋斗
B. 全面深化改革开放
C. 自力更生
D. 斗争精神
【答案】B -
新时代我国社会主要矛盾的变化,是在社会主义初级阶段中发生的变化,()对我国社会主义所处历史阶段的判断。
A. 正在进行
B. 没有改变
C. 未能进行
D. 已经改变
【答案】B -
中国共产党区别于其他政党的显著标志是()。
A. 促进高质量发展
B. 勇于自我革命
C. 人民立场
D. 深化改革
【答案】C -
世界未有之大变局正在加速演变。()仍然是时代主题,但是不稳定不确定性更加突出。
A. 和平与融合
B. 和平与发展
C. 发展与共享
D. 开放与包容
【答案】B -
在新中国成立特别是改革开放以来取得重大成就的基础上,我国发展站在了新的历史起点上,社会主要矛盾已转化为()。
A. 人民日益增长的幸福生活需要和不充分不平衡的发展之间的矛盾
B. 人民日益增长的幸福生活需要和不平衡不充分的发展之间的矛盾
C. 人民日益增长的美好生活需要和不平衡不充分的发展之间的矛盾
D. 人民日益增长的美好生活需要和不充分不平衡的发展之间的矛盾
【答案】C -
全面深化改革的总目标是()。
A. 赋予社会主义新的生机活力,推进国家治理体系和治理能力现代化
B. 推进国家治理体系和治理能力现代化
C. 进一步解放思想、发展社会生产力
D. 完善和发展中国特色社会主义制度,推进国家治理体系和治理能力现代化
【答案】D -
中国特色社会主义的总体布局是()。
A. “五位一体”
B. “四位一体”
C. “三位一体”
D. “六位一体”
【答案】A -
“十四个坚持”是()。
A. 习近平新时代中国特色社会主义思想的重要组成部分,是在治国理政各方面作出的理论分析和政策指导
B. 对新时代伟大实践进行了科学总结
C. 是实现“两个一百年”奋斗目标、实现中华民族伟大复兴中国梦的“路线图”和“方法论”
D. 赋予了马克思主义世界观和方法论以新的时代内涵
【答案】C -
()是党的领导的最高原则,是党保持团结统一和强大战斗力的关键所在。
A. 实事求是
B. 党中央集中统一领导
C. 群众路线
D. 民主集中制
【答案】B -
(),习近平在庆祝中国共产党成立100周年大会上庄严宣告:“经过全党全国各族人民持续奋斗,我们实现了第一个百年奋斗目标,在中华大地上全面建成了小康社会,历史性地解决了绝对贫困问题,正在意气风发向着全面建成社会主义现代化强国的第二个百年奋斗目标迈进。”
A. 2018年7月1日
B. 2021年7月1日
C. 2019年7月1日
D. 2022年7月1日
【答案】B -
()的发展理念,相互贯通、相互促进,是具有内在联系的集合体,要统一贯彻,不能顾此失彼,也不能相互替代。
A. 创新、协调、绿色、开放、共享
B. 创新、协调、和谐、开放、共赢
C. 改革、协调、绿色、开放、共享
D. 改革、和谐、绿色、开放、共享
【答案】A -
我国进入了一个()。
A. 新发展方位
B. 新发展格局
C. 新发展阶段
D. 新发展时期
【答案】C -
进入新时代,()到了一个新的重要关头。
A. 改革开放
B. “一带一路”倡议
C. 互利共赢
D. 构建人类命运共同体
【答案】A -
习近平指出,“我们讲宗旨,讲了很多话,但说到底还是()这句话。”
A. 以人民为中心
B. 为人民服务
C. 群众路线是根本工作路线
D. 坚持人民主体地位
【答案】B -
()是更基础、更广泛、更深厚的自信,是一个国家、一个民族发展中最基本、最深沉、最持久的力量。
A. 道路自信
B. 理论自信
C. 文化自信
D. 制度自信
【答案】C -
()把我国建成富强民主文明和谐美丽的社会主义现代化强国。
A. 从2020年到2045年
B. 从2035年到本世纪中叶
C. 从2035年到2050年
D. 从2020年到2035年
【答案】B
-
建设现代化产业体系,应重点抓好__。
A. 大力发展战略性新兴产业
B. 加快发展数字经济
C. 构建优质高效的服务业新体系
D. 巩固优势产业领先地位
E. 发展现代流通产业
【答案】A B C D E -
改革开放是__。
A. 决定当代中国命运的关键一招
B. 坚持和发展中国特色社会主义的必由之路
C. 完成新时代目标任务的必然要求
D. 党和人民大踏步赶上时代的重要法宝
【答案】A B C D -
民主集中制必须坚持__。
A. 少数服从多数
B. 党员个人服从党的组织
C. 全党各个组织和全体党员服从党的全国代表大会和中央委员会
D. 下级组织服从上级组织
【答案】A B C D -
国家治理体系和治理能力现代化,__。
A. 是一个国家制度和制度执行能力的集中体现
B. 是一个国家现代化的重要标志
C. 国家治理体系和治理能力是一个有机整体,相辅相成
【答案】A B C -
我们要统揽__,勠力同心、接力奋斗,用实干托起中国梦。
A. 伟大梦想
B. 伟大斗争
C. 伟大工程
D. 伟大事业
【答案】A B C D -
我们党领导人民完成了__的主要任务,为实现中华民族伟大复兴提供了重要基础和保证。
A. 新民主主义革命时期
B. 社会主义革命和建设时期
C. 改革开放和社会主义现代化建设新时期
D. 中国特色社会主义新时代
【答案】A B C D -
把全面深化改革不断引向深入,要聚焦全面建设社会主义现代化国家中的重大问题,注重统筹全局、把握重点,抓好重大改革任务攻坚克难,__。
A. 健全加强党的全面领导、全面从严治党制度
B. 深化社会主义市场经济体制改革
C. 深化社会体制改革
D. 深化人民当家作主制度体系改革
E. 深化文化体制改革
【答案】A B C D E -
我国非公有制经济是__。
A. 国家税收的重要来源
B. 稳定经济的重要基础
C. 经济持续健康发展的重要力量
D. 社会主义市场经济的重要组成部分
E. 就业创业的重要领域
【答案】A B C D E -
全面深化改革开放是完成新时代目标任务的必然要求,是因为__。
A. 产业结构不合理,发展方式依然粗放
B. 科技创新能力不强
C. 城乡区域发展差距和居民收入分配差距依然较大
D. 发展中不平衡、不协调、不可持续问题依然突出
【答案】A B C D -
全面从严治党不断深化,党的__能力显著增强,管党治党宽松软状况得到根本扭转,反腐败斗争取得压倒性胜利并全面巩固。
A. 自我净化
B. 自我完善
C. 自我革新
D. 自我提高
【答案】A B C D -
改革开放是对社会主义生产关系和上层建筑的调整,使之适应生产力和经济基础发展的新要求,是社会主义制度的自我完善和发展,而不是改弦易张。习近平强调:这里面最核心的是__、__。
A. 坚持和改善党的领导
B. 坚持和完善中国特色社会主义制度
【答案】A B -
新时代中国正处于中华民族伟大复兴的关键时期,因为__。
A. 面临着许多前所未有的困难和问题,战略机遇和风险挑战并存
B. 以习近平同志为核心的党中央深刻把握中华民族伟大复兴战略全局
C. 社会主要矛盾发生历史性变化,我们具备良好发展条件
【答案】A B C -
坚持以人民为中心的发展思想,要__。
A. 坚持和贯彻党的群众路线
B. 推动全体人民共同富裕取得更为明显的实质性进展
C. 把为人民造福的事情真正办好办实
D. 尊重人民主体地位
【答案】A B C D -
构建新发展格局,必须__。
A. 具备强大的国内经济循环体系和稳固的基本盘
B. 保证经济循环的畅通无阻
C. 实现经济在高水平上的动态平衡
D. 发挥比较优势,以国内大循环吸引全球资源要素
【答案】A B C D -
习近平新时代中国特色社会主义思想回答了__等重大时代课题。
A. 新时代坚持和发展什么样的中国特色社会主义、怎样坚持和发展中国特色社会主义
B. 建设什么样的社会主义现代化强国、怎样建设社会主义现代化强国
C. 建设什么样的长期执政的马克思主义政党、怎样建设长期执政的马克思主义政党
【答案】A B C -
“两个确立”形成的依据是__。
A. 新时代的伟大变革是在以习近平同志为核心的党中央坚强领导下取得的
B. “两个确立”已经写在了新时代的伟大征程上、写在了全党全军全国各族人民的心坎上
【答案】A B -
构建更高水平开放型经济新体制,必须__。
A. 推动共建“一带一路”高质量发展
B. 深化贸易投资领域体制机制改革,稳步扩大制度型开放
C. 推动货物贸易优化升级,创新服务贸易发展机制,发展数字贸易,加快建设贸易强国
D. 优化区域开放布局,实施自由贸易试验区提升战略
E. 依托我国超大规模市场优势,以国内大循环吸引全球资源要素
【答案】A B C D E -
全面深化改革开放必须坚持的正确方法包括__。
A. 胆子要大,步子要稳
B. 统筹改革发展稳定
C. 坚持重大改革于法有据
D. 增强改革的系统性、整体性、协同性
E. 加强顶层设计和摸着石头过河相结合
【答案】A B C D E -
大力推动构建新发展格局,必须__。
A. 坚持问题导向和系统观念
B. 着力推动实施扩大内需战略同深化供给侧结构性改革有机结合
C. 着力发展实体经济
D. 着力推动产业链供应链优化升级
【答案】A B C D -
构建新发展格局是__。
A. 开放的国内国际双循环,不是封闭的国内单循环
B. 以全国统一大市场基础上的国内大循环为主体,不是各地都搞自我小循环
C. 适应我国发展新阶段要求、塑造国际合作和竞争新优势的必然选择
D. 事关全局的系统性、深层次变革
E. 把握未来发展主动权的先手棋
【答案】A B C D E -
新发展理念具有丰富的科学内涵和具体的实践要求:__。
A. 创新是引领发展的第一动力,注重解决发展动力问题
B. 协调是持续健康发展的内在要求,注重解决发展不平衡问题
C. 绿色是永续发展的必要条件,注重解决人与自然和谐共生问题
D. 开放是国家繁荣发展的必由之路,注重解决发展内外联动问题
E. 共享是中国特色社会主义的本质要求,注重解决社会公平正义问题
【答案】A B C D E -
进入新时代,以习近平同志为核心的党中央准确把握我国发展新的历史方位,不断深化对中国特色社会主义建设规律的认识,解决了许多长期想解决而没有解决的难题,办成了许多过去想办而没有办成的大事,党和国家事业__,推动我国迈上全面建设社会主义现代化国家新征程。
A. 发生历史性变革
B. 取得历史性成就
【答案】A B -
依靠人民创造历史伟业,必须__。
A. 尊重人民首创精神
B. 总结、概括人民群众实践中形成的新鲜经验
C. 激发人民群众的创新创造活力
D. 尊重人民主体地位
【答案】A B C D
-
推动构建新型国际关系,就是要秉持相互尊重、公平正义、__原则,走出一条对话而不对抗、结伴而不结盟的国与国交往新路。
A. 开放包容
B. 合作共赢
C. 人类文明
D. 经济发展
【答案】B -
__与人民群众切身利益关系最密切,是人民群众安全感的晴雨表,是社会安定的风向标。
A. 经济安全
B. 政治安全
C. 文化安全
D. 社会安全
【答案】D -
__是统一的政治基础。
A. 坚持一个中国原则和“九二共识”
B. 协商解决两岸同胞关心的问题
C. 继续推进两岸“三通”
D. 促进两岸人文交流
【答案】A -
中华民族之所以一次次凤凰涅槃、浴火重生,一个很重要的原因就是博大精深、灿烂辉煌的__具有强大的生命力、凝聚力、创造力。
A. 社会主义经济
B. 中华文化
C. 社会主义法律
D. 资本主义文化
【答案】B -
__是最大的民生工程、民心工程、根基工程,必须抓紧抓实抓好。
A. 生活水平
B. 就业
C. 生产
D. 共同富裕
【答案】B -
党的十八大以来,以习近平同志为核心的党中央深刻把握强国对强军的战略需求,围绕新时代__,深入进行理论探索和实践创造,形成习近平强军思想并不断丰富和发展。
A. 坚持和发展什么样的中国特色社会主义、怎样坚持和发展中国特色社会主义
B. 建设一支什么样的强大人民军队、怎样建设强大人民军队
C. 建设什么样的长期执政的马克思主义政党、怎样建设长期执政的马克思主义政党
D. 建设什么样的社会主义现代化强国、怎样建设社会主义现代化强国
【答案】B -
人民安全居于中心地位,国家安全归根结底是保障__。
A. 经济发展
B. 领土完整
C. 人民利益
D. 社会稳定
【答案】C -
坚持以__、合作共赢为基础走和平发展道路是习近平外交思想的重要内容。
A. 礼尚往来
B. 相互尊重
C. 坚持走和平发展道路
D. 开放包容
【答案】B -
建设社会主义文化强国、推动社会主义文化繁荣兴盛,关键在于坚定中国特色社会主义__。
A. 文化自觉
B. 文化自信
C. 文化软实力
D. 文化创造活力
【答案】B -
社会主义核心价值观集中体现着全体人民共同的价值追求,是凝聚人心、汇聚民力的强大力量。要广泛学习、宣传和实践社会主义核心价值观,注重全方位贯穿、深层次融入,使践行__成为全体人民自觉行动。
A. 理想信念、价值理念、道德观念
B. 社会主义核心价值观
C. 中华优秀传统文化
D. 社会主义核心价值体系
【答案】B -
力争到二〇三五年__国防和军队现代化,到本世纪中叶把人民军队__世界一流军队。
A. 全面实现;基本建成
B. 全面实现;全面建成
C. 基本实现;全面建成
D. 基本实现;基本建成
【答案】C -
制度的生命力在于执行,关键在__,靠的是严管。
A. 执行
B. 监督
C. 保障
D. 真抓
【答案】D -
__是党的基础性建设。
A. 思想建设
B. 制度建设
C. 政治建设
D. 作风建设
【答案】A -
习近平总书记强调,谁牵住了__这个“牛鼻子”,谁就能占领先机、赢得优势。
A. 科技创新
B. 思想创新
C. 制度创新
D. 文化创新
【答案】A -
应对生态环境挑战,必须摒弃“单边主义”“极端利己主义”“甩锅推责”,打造__的全球生态治理体系。
A. 多元共治
B. 携手合作
C. 命运与共
D. 美丽世界
【答案】A -
全面依法治国的唯一正确道路是__。
A. 中国特色社会主义政治发展道路
B. 中国特色社会主义道路
C. 中国特色社会主义法治道路
D. 中国特色社会主义法制道路
【答案】C -
统战工作的关键是要__,发扬“团结—批评—团结”的优良传统,在尊重多样性中寻求一致性,找到最大公约数、画出最大同心圆。
A. 坚持多样性
B. 坚持党的领导
C. 坚持同一性
D. 坚持求同存异
【答案】D -
坚持以__为原则推动“一带一路”建设是习近平外交思想的主要内容之一。
A. 共商共建共享
B. 互利共赢
C. 平等协商
D. 共商共建
【答案】A -
法治监督体系以__为重点。
A. 制度建设
B. 少数领导干部
C. 规范和约束公权力的运行
D. 思想教育
【答案】C -
__是国家治理体系和治理能力的重要依托。
A. 人民
B. 党的领导
C. 民主
D. 法治
【答案】D -
__是党的政治建设的首要任务。
A. 贯彻“四个全面”
B. 保证全党服从中央,维护党中央权威和集中统一领导
C. 学习贯彻习近平新时代中国特色社会主义思想
D. 增强“四个意识”
【答案】B -
总体国家安全观以__为基础,加强经济安全风险预警、防控机制和能力建设。
A. 经济安全
B. 国内安全
C. 国际安全
D. 国土安全
【答案】A -
坚持和加强党的全面领导,坚持党要管党、全面从严治党,以__为主线。
A. 加强党的长期执政能力建设、先进性和纯洁性建设
B. 坚定理想信念宗旨
C. 党的政治建设
D. 调动全党积极性、主动性、创造性
【答案】A -
__这是重要的发展理念,也是推进现代化建设的重大原则。
A. 绿水青山就是金山银山
B. 人与自然和谐共生
C. 山水林田湖草沙治理
D. 生态文明建设
【答案】A -
按照军委管总、战区主战、__的总原则改革领导指挥体制,实现军队组织架构的历史性变革。
A. 战区主建
B. 党委领导
C. 军种主战
D. 军种主建
【答案】D
-
中国特色大国外交要坚持的原则要求是__。
A. 坚持和加强党对对外工作的集中统一领导
B. 坚持以相互尊重、合作共赢为基础走和平发展道路
C. 坚持以公平正义为理念引领全球治理体系改革
D. 坚持以中国特色社会主义为根本增强战略自信
E. 坚持以国家核心利益为底线维护国家主权、安全、发展利益
【答案】A B C D E -
健全社会治理制度,要__。
A. 健全公共安全体制机制,编织全方位、立体化的公共安全网
B. 健全社会心理服务体系和疏导机制、危机干预机制
C. 完善社会治安综合治理体制机制
D. 构建源头防控、排查梳理、纠纷化解、应急处置的社会矛盾综合治理机制
【答案】A B C D -
坚持和完善“一国两制”制度体系,要__。
A. 为落实爱国者治理提供制度保障
B. 健全中央行使全面管治权的制度
C. 发展经济,改善民生
D. 加强依法治理相关制度和机制建设
【答案】A B C D -
全面依法治国必须正确处理__的关系。
A. 政治和法治
B. 依法治国和以德治国
C. 改革和法治
D. 依法治国和依规治党
【答案】A B C D -
坚持举旗帜、聚民心、育新人、兴文化、展形象。举旗帜,就是要__。
A. 推动当代中国马克思主义、二十一世纪马克思主义深入人心、落地生根
B. 在学懂弄通做实上下功夫
C. 坚持不懈用习近平新时代中国特色社会主义思想武装全党、教育人民、推动工作
D. 高举马克思主义的旗帜、中国特色社会主义的旗帜
【答案】A B C D -
坚持党对人民军队的绝对领导必须有一整套制度作保证。这些制度主要有__。
A. 军队最高领导权和指挥权属于党中央、中央军委,中央军委实行主席负责制
B. 实行党委制、政治委员制、政治机关制
C. 实行党委(支部)统一的集体领导下的首长分工负责制
D. 实行支部建在连上
【答案】A B C D -
生态环境问题归根到底是__问题。
A. 生活方式
B. 教育方式
C. 经济发展方式
D. 社会发展方式
【答案】C D -
我国走和平发展道路,是__。
A. 对国际社会关注中国发展走向的回应
B. 符合历史潮流、顺应世界大势的正确选择
C. 中国人民对实现自身发展目标的自信和自觉
D. 基于中国历史文化传统作出的必然选择
E. 由中国共产党性质宗旨和我国社会主义制度决定的
【答案】A B C D E -
意识形态__。
A. 关乎旗帜
B. 关乎道路
C. 决定文化前进方向和发展道路
D. 关乎国家政治安全
【答案】A B C D -
全面依法治国是__。
A. 完善和发展中国特色社会主义制度、推进国家治理体系和治理能力现代化的重要方面
B. “四个全面”战略布局之一
C. 坚持和发展中国特色社会主义的本质要求和重要保障
D. 国家治理的一场深刻革命,关系党执政兴国,关系人民幸福安康
【答案】A B C D -
全面贯彻新时代党解决台湾问题的总体方略,必须__。
A. 坚持一个中国原则和“九二共识”
B. 坚持党中央对对台工作的集中统一领导
C. 坚持在祖国大陆发展进步基础上解决台湾问题
D. 坚持在中华民族伟大复兴进程中推进祖国统一
E. 坚持“和平统一、一国两制”基本方针
【答案】A B C D E -
坚持马克思主义在意识形态领域指导地位的根本制度,必须__。
A. 把坚持以马克思主义为指导体现到理论武装、舆论引导、思想道德建设、文化文艺等各方面
B. 牢牢掌握党对意识形态工作领导权
C. 坚持以立为本、立破并举,把意识形态阵地建设和管理工作摆在重要位置
D. 全面落实意识形态工作责任制,压紧压实政治责任
【答案】A B C D -
坚决打赢反腐败斗争攻坚战持久战。必须清醒认识到,腐败和反腐败较量还在激烈进行,并呈现出一些新的阶段性特征,必须__。
A. 坚决防止领导干部成为利益集团和权势团体的代言人、代理人
B. 坚决防止政商勾连、资本向政治领域渗透等破坏政治生态和经济发展环境的腐败
C. 坚持以零容忍态度反腐惩恶不动摇
D. 坚决惩治不收敛不收手、胆大妄为者
E. 坚决查处政治问题和经济问题交织的腐败
【答案】A B C D E -
加快建设科技强国,必须__,实现高水平科技自立自强。
A. 坚持走中国特色自主创新道路
B. 加快关键核心技术攻关
C. 发挥新型举国体制优势
D. 完善国家创新体系
【答案】A B C D -
坚持__,是保障和改善民生的重要方针。
A. 突出重点
B. 量力而行
C. 尽力而为
D. 正确把握民生和发展的关系
【答案】A B C D -
加快形成完备的法律规范体系,必须__。
A. 提高立法效率,增强立法系统性、整体性、协同性和时效性
B. 深入推进科学立法、民主立法、依法立法,统筹立改废释纂
C. 研究丰富立法形式,增强立法的针对性、适用性、可操作性
D. 推进合宪性审查工作
【答案】A B C D -
铸牢中华民族共同体意识,就要__。
A. 引导各族群众牢固树立正确的祖国观、民族观、文化观、历史观
B. 建设各民族共有精神家园,促进各民族共同繁荣共同发展
C. 正确把握共同性和差异性的关系、中华民族共同体意识和各民族意识的关系、中华文化和各民族文化的关系
D. 引导各族人民牢固树立休戚与共、荣辱与共、命运与共的共同体理念
【答案】A B C D -
我国独立自主的和平外交政策的内容包括__。
A. 尊重各国主权和领土完整,尊重各国人民选择的发展道路和社会制度
B. 始终根据事情本身的是非曲直决定自己的立场和政策
C. 奉行防御性的国防政策,永远不称霸、永远不搞扩张
D. 反对冷战思维,反对干涉别国内政,反对搞双重标准
E. 坚决反对一切形式的霸权主义和强权政治
【答案】A B C D E -
全过程人民民主是最管用的民主,具体体现在__。
A. 保证人民依法行使权利,防止选举时漫天许诺、选举后无人过问
B. 巩固平等团结互助和谐的社会主义民族关系,防止民族隔阂、冲突
C. 加强社会各种力量的合作协调,防止党争纷沓、相互倾轧
D. 保证在党的领导下有效治理国家,防止群龙无首、一盘散沙
E. 发展基层民主,防止人民形式上有权、实际上无权
【答案】A B C D E -
全过程人民民主是社会主义民主政治的本质属性,是__的民主。
A. 最管用
B. 最广泛
C. 最真实
D. 最典型
【答案】A B C -
全面从严治党是一项管党治党的系统工程,要__。
A. 坚持对象上全覆盖,面向党的各级组织和全体党员
B. 坚持制度上全贯通,把制度建设要求体现到全面从严治党全过程
C. 坚持责任上全链条,让每名党员、干部行使应有权利、履行应尽责任
D. 坚持内容上全涵盖,党的建设推进到哪里,全面从严治党体系就要构建到哪里
【答案】A B C D -
政治安全与人民安全、国家利益至上的关系是__。
A. 要把政治安全、人民安全、国家利益至上三者统一起来,确保实现党的长期执政、人民安居乐业、国家长治久安
B. 人民安全居于中心地位,国家安全归根到底是保障人民利益
C. 国家利益至上是实现政治安全和人民安全的要求和原则
D. 政治安全是维护人民安全和国家利益的根本保证
【答案】A B C D -
全面从严治党,“要害在治”,就是__。
A. 敢于瞪眼黑脸,勇于执纪问责
B. 要真正解决问题、切实担起责任
C. 从党中央到地方各级党委,从中央部委、国家机关部门党组(党委)到基层党支部,都要担负起主体责任
D. 坚持标本兼治,拔“烂树”、治“病树”、正“歪树”,实现管党治党真正从宽松软走向严紧硬
E. 各级纪委要担负起监督责任
【答案】A B C D E -
完善分配制度,要做到__。
A. 加大税收、社保、转移支付等的调节力度
B. 构建初次分配、再分配、第三次分配协调配套的制度体系
C. 努力提高劳动报酬在初次分配中的比重,健全工资合理增长机制
D. 探索通过土地、资本等要素使用权、收益权增加中低收入群体要素收入
E. 不断壮大中等收入群体
【答案】A B C D E -
到本世纪中叶,把人民军队全面建成世界一流军队,具体的目标要求是__。
A. 建成同我国强国地位相称的世界一流军队
B. 建成能够全面有效维护国家安全的世界一流军队
C. 建成具备强大国际影响力的世界一流军队
D. 能够打败一切强敌的世界一流军队
【答案】A B C
首二字对照
agent提问:以现有的题以及格式,整理完全部题的首二字对照 \ codex输出:Updated the首二字对照索引 to include all 198 questions, regrouped by首二字并按拼音首字母分组输出,去掉了原始题目汇总的标题/说明行并统一了缩进格式。
AZ(按照)
- 按照军委管总、战区主战、__的总原则改革领导指挥体制,实现军队组织架构的历史性变革。
A. 战区主建
B. 党委领导
C. 军种主战
D. 军种主建
【答案】D
BN(百年)
- 百年前,中国共产党的先驱们创建了中国共产党,是中国精神的忠实继承者和坚定弘扬者,形成了__的伟大建党精神。
A. 坚持真理、坚守理想
B. 对党忠诚、不负人民
C. 不怕牺牲、英勇斗争
D. 践行初心、担当使命
【答案】A B C D
BQ(把全)
- 把全面深化改革不断引向深入,要聚焦全面建设社会主义现代化国家中的重大问题,注重统筹全局、把握重点,抓好重大改革任务攻坚克难,__。
A. 健全加强党的全面领导、全面从严治党制度
B. 深化社会主义市场经济体制改革
C. 深化社会体制改革
D. 深化人民当家作主制度体系改革
E. 深化文化体制改革
【答案】A B C D E
BW(把我)
- ()把我国建成富强民主文明和谐美丽的社会主义现代化强国。
A. 从2020年到2045年
B. 从2035年到本世纪中叶
C. 从2035年到2050年
D. 从2020年到2035年
【答案】B
BX(必须)
- 必须坚持中国特色社会主义法治道路,紧紧围绕__这个总目标。
A. 建设中国特色社会主义法治体系
B. 建设中国特色社会主义法治体系、建设社会主义法治国家
C. 建设社会主义法治国家
D. 有法可依、有法必依、违法必究、执法必严
【答案】B
BZ(把增)
- __把“增强绿水青山就是金山银山的意识”写入党章。
A. 党的十八届三中全会
B. 党的十九大
C. 党的二十大
D. 党的十八大
【答案】B
CQ(促进)
- 促进区域协调发展,__。
A. 要推进以人为核心的新型城镇化,加快农业转移人口市民化
B. 要求各地区在经济发展上达到同一水平
C. 是贯彻新发展理念的重要内容,也是实现高质量发展的必然要求
D. 要深入实施区域协调发展战略、区域重大战略、主体功能区战略
【答案】A C D
DB(到本)
- 到本世纪中叶,把人民军队全面建成世界一流军队,具体的目标要求是__。
A. 建成同我国强国地位相称的世界一流军队
B. 建成能够全面有效维护国家安全的世界一流军队
C. 建成具备强大国际影响力的世界一流军队
D. 能够打败一切强敌的世界一流军队
【答案】A B C
DD(对党 / 党的)
-
对党的群众路线的理解,__。
A. 其内容是一切为了群众、一切依靠群众,从群众中来,到群众中去
B. 开展调查研究就是走群众路线,没有调查就没有发言权,就没有决策权
C. “知”是基础、是前提,“行”是重点、是关键
D. 群众路线是我们党始终坚持的根本工作方法
【答案】A B C D -
党的二十大提出的__,是习近平新时代中国特色社会主义思想的世界观、方法论和贯穿其中的立场观点方法的重要体现。
A. “六个必须坚持”
B. “十个坚持”
C. “十个明确”
D. “十三个方面成就”
【答案】A -
党的十一届三中全会以来,我国创造了__两大奇迹,极大地改变了中国的面貌。
A. 经济快速发展
B. “新四大发明”
C. 社会长期稳定
D. 民族团结
【答案】A C -
党的十八大以来,以习近平同志为核心的党中央从实现中华民族伟大复兴的全局高度,全面准确、坚定不移贯彻__的方针,推动香港由乱到治走向由治及兴的新阶段。
A. “澳人治澳”
B. 高度自治
C. “一国两制”
D. “港人治港”
【答案】C -
党的十八大以来,中国特色社会主义进入新时代,这是我国发展新的__。
A. 战略格局
B. 历史维度
C. 历史方位
D. 战略方向
【答案】C -
党的十八大以来,我国经济已由高速增长阶段转向()阶段。
A. 20蜡动力转换
B. 高质量发展
C. 世界级市场
D. 高水平开放
【答案】B -
党的十八大后,党面临的主要任务是,实现第一个百年奋斗目标,开启实现()新征程。
A. 中国特色社会主义进入新时代
B. 社会主义现代化
C. 第二个百年奋斗目标
D. 脱贫攻坚任务的胜利
【答案】C -
党的十八大以来,以习近平同志为核心的党中央深刻把握强国对强军的战略需求,围绕新时代__,深入进行理论探索和实践创造,形成习近平强军思想并不断丰富和发展。
A. 坚持和发展什么样的中国特色社会主义、怎样坚持和发展中国特色社会主义
B. 建设一支什么样的强大人民军队、怎样建设强大人民军队
C. 建设什么样的长期执政的马克思主义政党、怎样建设长期执政的马克思主义政党
D. 建设什么样的社会主义现代化强国、怎样建设社会主义现代化强国
【答案】B
DF(的发)
- ()的发展理念,相互贯通、相互促进,是具有内在联系的集合体,要统一贯彻,不能顾此失彼,也不能相互替代。
A. 创新、协调、绿色、开放、共享
B. 创新、协调、和谐、开放、共赢
C. 改革、协调、绿色、开放、共享
D. 改革、和谐、绿色、开放、共享
【答案】A
DJ(当今)
-
当今时代,世界进入新的动荡变革期,__全局相互交织、深度互动,中国同国际社会的联系空前紧密,中国对世界的依靠、对国际事务的参与在不断加深,世界对中国的依靠、对中国的影响也在不断加深。
A. 世纪疫情大流行
B. 世界百年未有之大变局
C. 人类命运共同体建设
D. 中华民族伟大复兴战略
【答案】B D -
当今世界,和平与发展仍然是时代主题,但并不太平。、、__对世界和平与发展构成巨大威胁,霸权霸道霸凌行径有恃无恐,地区冲突和局部战争持续不断,国家安全面临的风险和挑战明显增多,家门口生乱生战的可能性增大。
A. 共赢原则
B. 强权政治
C. 霸权主义
D. 冷战思维
【答案】B C D
DL(大力)
- 大力推动构建新发展格局,必须__。
A. 坚持问题导向和系统观念
B. 着力推动实施扩大内需战略同深化供给侧结构性改革有机结合
C. 着力发展实体经济
D. 着力推动产业链供应链优化升级
【答案】A B C D
DN(多年)
- 90多年来,人民军队之所以能够始终保持强大的凝聚力向心力战斗力,经受住各种考验,不断从胜利走向胜利,最根本的就是靠__。
A. 发展先进科学技术
B. 改革开放的成功
C. 中国共产党的坚强领导
D. 一不怕苦,二不怕死
【答案】C
DS(党是)
- 党是领导一切的,是()力量。
A. 最高的政治领导
B. 主导
C. 基本
D. 根本
【答案】A
DX(对新)
- 对新安全格局和新发展格局关系的正确理解是__。
A. 新安全格局是新发展格局的重要前提和保障
B. 只有以新安全格局保障新发展格局,才能夯实我国经济发展的根基、增强发展的安全性稳定性
C. 以新安全格局保障新发展格局,必须统筹维护国家安全各类要素、各方资源、各种手段,主动塑造有利的外部安全环境
D. 只有以新安全格局保障新发展格局,才能在各种可以预见和难以预见的风险挑战中增强我国的生存力、竞争力、发展力、持续力
【答案】A B C D
FG(非公)
- 非公有制经济包括__。
A. 个体经济
B. 外商投资经济
C. 港澳台投资经济
D. 民营经济
E. 混合所有制经济中的非国有成分和非集体成分
【答案】A B C D E
FZ(发展 / 法治)
-
发展是解决我国一切问题的基础和关键,发展必须是科学发展,必须坚定不移贯彻__、共享的发展理念。
A. 绿色
B. 创新
C. 开放
D. 协调
【答案】A B C D -
法治监督体系以__为重点。
A. 制度建设
B. 少数领导干部
C. 规范和约束公权力的运行
D. 思想教育
【答案】C
GG(改革)
-
改革开放是有方向、有立场、有原则的,必须__。
A. 有利于进一步解放思想、进一步解放和发展社会生产力
B. 坚持和改善党的全面领导、坚持和完善中国特色社会主义制度
C. 要保持战略定力,牢牢把握全面深化改革开放的正确方向,确保改革不改向、变革不变色
D. 坚持以人民为中心,促进社会公平正义、增进人民福祉
【答案】A B C D -
改革开放是党和人民大踏步赶上时代的__。
A. 重要法宝
B. 关键
C. 主旋律
D. 国策
【答案】A -
改革开放是坚持和发展中国特色社会主义的必由之路,因为__。
A. 改革开放我国用几十年时间走完了发达国家几百年走过的工业化历程
B. 改革开放使得中华民族以崭新姿态屹立于世界的东方
C. 改革开放极大改变了中国的面貌、中华民族的面貌、中国人民的面貌、中国共产党
D. 改革开放使中国社会焕发出强大的生机活力
【答案】A B C D -
改革开放是__。
A. 决定当代中国命运的关键一招
B. 坚持和发展中国特色社会主义的必由之路
C. 完成新时代目标任务的必然要求
D. 党和人民大踏步赶上时代的重要法宝
【答案】A B C D -
改革开放是对社会主义生产关系和上层建筑的调整,使之适应生产力和经济基础发展的新要求,是社会主义制度的自我完善和发展,而不是改弦易张。习近平强调:这里面最核心的是__、__。
A. 坚持和改善党的领导
B. 坚持和完善中国特色社会主义制度
【答案】A B
GJ(国家 / 构建)
-
国家治理体系和治理能力现代化,__。
A. 是一个国家制度和制度执行能力的集中体现
B. 是一个国家现代化的重要标志
C. 国家治理体系和治理能力是一个有机整体,相辅相成
【答案】A B C -
构建新发展格局,必须__。
A. 具备强大的国内经济循环体系和稳固的基本盘
B. 保证经济循环的畅通无阻
C. 实现经济在高水平上的动态平衡
D. 发挥比较优势,以国内大循环吸引全球资源要素
【答案】A B C D -
构建更高水平开放型经济新体制,必须__。
A. 推动共建“一带一路”高质量发展
B. 深化贸易投资领域体制机制改革,稳步扩大制度型开放
C. 推动货物贸易优化升级,创新服务贸易发展机制,发展数字贸易,加快建设贸易强国
D. 优化区域开放布局,实施自由贸易试验区提升战略
E. 依托我国超大规模市场优势,以国内大循环吸引全球资源要素
【答案】A B C D E -
构建新发展格局是__。
A. 开放的国内国际双循环,不是封闭的国内单循环
B. 以全国统一大市场基础上的国内大循环为主体,不是各地都搞自我小循环
C. 适应我国发展新阶段要求、塑造国际合作和竞争新优势的必然选择
D. 事关全局的系统性、深层次变革
E. 把握未来发展主动权的先手棋
【答案】A B C D E
GY(公有)
- 公有制经济包括__。
A. 国有经济
B. 混合所有制经济中的非国有成分
C. 集体经济
D. 混合所有制经济中的集体成分
【答案】A C D
GZ(高质)
- 高质量发展的重大战略意义是__。
A. 高质量发展为全面建设社会主义现代化国家提供更为坚实的物质基础
B. 高质量发展是推动党的建设的必然要求
C. 高质量发展是维护国家长治久安的必然要求
D. 高质量发展是不断满足人民对美好生活需要的重要保证
【答案】A C D
JC(坚持)
-
坚持和发展中国特色社会主义,总任务是__。
A. 建设中国特色社会主义法治体系、建设法治国家
B. 实现社会主义现代化和中华民族伟大复兴,在全面建成小康社会的基础上,分两步走在本世纪中叶建成富强民主文明和谐美丽的社会主义现代化强国
C. 完善和发展中国特色社会主义制度、推进国家治理体系和治理能力现代化
D. 建设一支听党指挥、能打胜仗、作风优良的人民军队,把人民军队建设成为世界一流军队
【答案】B -
坚持以人民为中心的发展思想,就要在高质量发展中促进共同富裕。
A. 形成中间大、两头小的橄榄型分配结构
B. 加大税收、社保、转移支付等调节力度并提高精准性
C. 正确处理效率和公平的关系
D. 构建初次分配、再分配、三次分配协调配套的基础性制度安排
【答案】A B C D -
坚持依法治国、依宪执政,就必须__。
A. 学习西方“三权鼎立”制度
B. 坚持走“宪政”道路不动摇
C. 坚持宪法确定的人民民主专政的国体和人民代表大会的政体不动摇
D. 坚持宪法确定的中国共产党领导地位不动摇
【答案】C D -
坚持和发展新时代__,完善正确处理新形势下人民内部矛盾机制。
A. 人民调解
B. “浦江经验”
C. “枫桥经验”
D. 社区治理
【答案】C -
坚持__,是坚持和加强党对宣传思想文化工作全面领导的本质要求,是发展社会主义先进文化的有力保障。
A. 中华优秀传统文化
B. 马克思主义在意识形态领域指导地位的制度
C. 中国特色社会主义共同理想
D. 社会主义的优越性
【答案】B -
坚持__对人才工作的全面领导是做好人才工作的根本保证。
A. 社会
B. 党
C. 政府
D. 国家
【答案】B -
坚持以__为理念引领全球治理体系改革。
A. 集体安全
B. 高质量发展
C. 绿色发展
D. 公平正义
【答案】D -
坚持马克思主义在意识形态领域指导地位的制度是中国特色社会主义制度体系的一项__。
A. 重要制度
B. 基本政策
C. 基本制度
D. 根本制度
【答案】D -
坚持以__为指导,是当代中国哲学社会科学区别于其他哲学社会科学的根本标志。
A. 建设中国特色新型智库
B. 拒绝一切来自西方哲学社会科学的影响
C. 在学科体系、学术体系等方面体现中国特色、中国风格、中国气派
D. 马克思主义
【答案】D -
坚持以__为底线维护国家主权、安全、发展利益。
A. 国土完整
B. 互惠互利
C. 和平发展
D. 国家核心利益
【答案】D -
坚持中国特色社会主义文化发展道路,必须坚持__。
A. 面向世界,吸纳外来文化
B. 举旗帜、聚民心、育新人、兴文化、展形象
C. “二为”方向、“双百”方针
D. 激发全民族文化创新创造活力
【答案】B -
坚持以宪法为最高法律规范,完善以宪法为核心的中国特色社会主义法律体系,加强__立法,把国家各项事业和各项工作纳入法制轨道。
A. 重点领域
B. 突出领域
C. 涉外领域
D. 新兴领域
【答案】A C D
(说明:重点领域指经济、社会、环境等关键方面;新兴领域如数字经济、人工智能、数据安全等;涉外领域涉及国际交往、跨境治理等。) -
坚持以人民为中心的发展思想,要__。
A. 坚持和贯彻党的群众路线
B. 推动全体人民共同富裕取得更为明显的实质性进展
C. 把为人民造福的事情真正办好办实
D. 尊重人民主体地位
【答案】A B C D -
坚持以__、合作共赢为基础走和平发展道路是习近平外交思想的重要内容。
A. 礼尚往来
B. 相互尊重
C. 坚持走和平发展道路
D. 开放包容
【答案】B -
坚持以__为原则推动“一带一路”建设是习近平外交思想的主要内容之一。
A. 共商共建共享
B. 互利共赢
C. 平等协商
D. 共商共建
【答案】A -
坚持和加强党的全面领导,坚持党要管党、全面从严治党,以__为主线。
A. 加强党的长期执政能力建设、先进性和纯洁性建设
B. 坚定理想信念宗旨
C. 党的政治建设
D. 调动全党积极性、主动性、创造性
【答案】A -
坚持和完善“一国两制”制度体系,要__。
A. 为落实爱国者治理提供制度保障
B. 健全中央行使全面管治权的制度
C. 发展经济,改善民生
D. 加强依法治理相关制度和机制建设
【答案】A B C D -
坚持举旗帜、聚民心、育新人、兴文化、展形象。举旗帜,就是要__。
A. 推动当代中国马克思主义、二十一世纪马克思主义深入人心、落地生根
B. 在学懂弄通做实上下功夫
C. 坚持不懈用习近平新时代中国特色社会主义思想武装全党、教育人民、推动工作
D. 高举马克思主义的旗帜、中国特色社会主义的旗帜
【答案】A B C D -
坚持党对人民军队的绝对领导必须有一整套制度作保证。这些制度主要有__。
A. 军队最高领导权和指挥权属于党中央、中央军委,中央军委实行主席负责制
B. 实行党委制、政治委员制、政治机关制
C. 实行党委(支部)统一的集体领导下的首长分工负责制
D. 实行支部建在连上
【答案】A B C D -
坚持马克思主义在意识形态领域指导地位的根本制度,必须__。
A. 把坚持以马克思主义为指导体现到理论武装、舆论引导、思想道德建设、文化文艺等各方面
B. 牢牢掌握党对意识形态工作领导权
C. 坚持以立为本、立破并举,把意识形态阵地建设和管理工作摆在重要位置
D. 全面落实意识形态工作责任制,压紧压实政治责任
【答案】A B C D -
坚持__,是保障和改善民生的重要方针。
A. 突出重点
B. 量力而行
C. 尽力而为
D. 正确把握民生和发展的关系
【答案】A B C D
JD(决定)
- __决定中国式现代化的根本性质。
A. 依法治国
B. 人民当家作主
C. 党的领导
D. 中国特色社会主义
【答案】C
JJ(坚决)
- 坚决打赢反腐败斗争攻坚战持久战。必须清醒认识到,腐败和反腐败较量还在激烈进行,并呈现出一些新的阶段性特征,必须__。
A. 坚决防止领导干部成为利益集团和权势团体的代言人、代理人
B. 坚决防止政商勾连、资本向政治领域渗透等破坏政治生态和经济发展环境的腐败
C. 坚持以零容忍态度反腐惩恶不动摇
D. 坚决惩治不收敛不收手、胆大妄为者
E. 坚决查处政治问题和经济问题交织的腐败
【答案】A B C D E
JK(加快)
-
加快建设科技强国,必须__,实现高水平科技自立自强。
A. 坚持走中国特色自主创新道路
B. 加快关键核心技术攻关
C. 发挥新型举国体制优势
D. 完善国家创新体系
【答案】A B C D -
加快形成完备的法律规范体系,必须__。
A. 提高立法效率,增强立法系统性、整体性、协同性和时效性
B. 深入推进科学立法、民主立法、依法立法,统筹立改废释纂
C. 研究丰富立法形式,增强立法的针对性、适用性、可操作性
D. 推进合宪性审查工作
【答案】A B C D
JQ(健全 / 加强)
-
健全和完善社会保障体系是新时代加强社会建设的重要着力点。坚持以__为重点,推动我国社会保障体系建设进入快车道。
A. 适应流动性
B. 高质量快速发展
C. 保证可持续性
D. 增强公平性
【答案】A C D -
加强作风建设,必须__。
A. 弘扬党的光荣传统和优良作风
B. 推进作风建设常态化长效化
C. 锲而不舍落实中央八项规定精神,持续深化纠治“四风”
D. 紧紧围绕保持党同人民群众的血肉联系,增强群众观念和群众感情
E. 促进党员干部特别是领导干部带头深入调查研究
【答案】A B C D E -
加强党的()为新时代党和国家事业发展提供了坚强保证。
A. 全面领导
B. 纪律建设
C. 最高指导
D. 自我革命
【答案】A -
健全社会治理制度,要__。
A. 健全公共安全体制机制,编织全方位、立体化的公共安全网
B. 健全社会心理服务体系和疏导机制、危机干预机制
C. 完善社会治安综合治理体制机制
D. 构建源头防控、排查梳理、纠纷化解、应急处置的社会矛盾综合治理机制
【答案】A B C D
JR(进入)
-
进入新时代,()到了一个新的重要关头。
A. 改革开放
B. “一带一路”倡议
C. 互利共赢
D. 构建人类命运共同体
【答案】A -
进入新时代,以习近平同志为核心的党中央准确把握我国发展新的历史方位,不断深化对中国特色社会主义建设规律的认识,解决了许多长期想解决而没有解决的难题,办成了许多过去想办而没有办成的大事,党和国家事业__,推动我国迈上全面建设社会主义现代化国家新征程。
A. 发生历史性变革
B. 取得历史性成就
【答案】A B
JS(建设)
-
建设更高水平的法治中国,必须__。
A. 完善以宪法为核心的中国特色社会主义法律体系
B. 严格公正司法
C. 扎实推进依法行政
D. 加快建设法治社会
【答案】A B C D -
建设现代化产业体系,应重点抓好__。
A. 大力发展战略性新兴产业
B. 加快发展数字经济
C. 构建优质高效的服务业新体系
D. 巩固优势产业领先地位
E. 发展现代流通产业
【答案】A B C D E -
建设社会主义文化强国、推动社会主义文化繁荣兴盛,关键在于坚定中国特色社会主义__。
A. 文化自觉
B. 文化自信
C. 文化软实力
D. 文化创造活力
【答案】B
LG(两个)
- “两个确立”形成的依据是__。
A. 新时代的伟大变革是在以习近平同志为核心的党中央坚强领导下取得的
B. “两个确立”已经写在了新时代的伟大征程上、写在了全党全军全国各族人民的心坎上
【答案】A B
LZ(力争)
- 力争到二〇三五年__国防和军队现代化,到本世纪中叶把人民军队__世界一流军队。
A. 全面实现;基本建成
B. 全面实现;全面建成
C. 基本实现;全面建成
D. 基本实现;基本建成
【答案】C
MY(没有)
- 没有__就没有国家安全,就没有经济社会稳定运行,广大人民群众利益也难以得到保障。
A. 国家富强
B. 网络安全
C. 人民富裕
D. 社会稳定
【答案】B
MZ(民主)
- 民主集中制必须坚持__。
A. 少数服从多数
B. 党员个人服从党的组织
C. 全党各个组织和全体党员服从党的全国代表大会和中央委员会
D. 下级组织服从上级组织
【答案】A B C D
QG(全过)
-
全过程人民民主是最管用的民主,具体体现在__。
A. 保证人民依法行使权利,防止选举时漫天许诺、选举后无人过问
B. 巩固平等团结互助和谐的社会主义民族关系,防止民族隔阂、冲突
C. 加强社会各种力量的合作协调,防止党争纷沓、相互倾轧
D. 保证在党的领导下有效治理国家,防止群龙无首、一盘散沙
E. 发展基层民主,防止人民形式上有权、实际上无权
【答案】A B C D E -
全过程人民民主是社会主义民主政治的本质属性,是__的民主。
A. 最管用
B. 最广泛
C. 最真实
D. 最典型
【答案】A B C
QM(全面)
-
全面地理解和把握新发展理念。
A. 要从根本宗旨上把握新发展理念,坚持以人民为中心的发展思想
B. 要从问题导向上把握新发展理念,切实解决发展不平衡不充分问题
C. 新发展理念是引领我国发展全局深刻变革的科学指引
D. 要从忧患意识上把握新发展理念,下好先手棋,打好主动仗
【答案】A B C D -
全面深化改革的总目标是__。
A. 推进国家治理体系和治理能力现代化
B. 实现两个百年目标
C. 完善和发展中国特色社会主义制度
D. 实现中国梦
【答案】A C -
全面依法治国的总抓手是__。
A. 建设中国特色社会主义法治体系,建设社会主义法治国家
B. 坚持中国共产党的领导
C. 建设中国特色社会主义法治国家
D. 建设社会主义法治国家
【答案】A -
全面深化改革开放,是一场全面、系统、整体的制度创新,必须着眼改革的关联性、系统性、可行性,全面系统整体推进各方面改革,包括__。
A. 坚持和完善对外开放制度机制,完善涉外经济法律和规则体系
B. 坚持和完善社会主义基本经济制度,充分发挥市场在资源配置中的决定性作用
C. 坚持和完善人民当家作主制度体系,积极发展全过程人民民主,深入推进国家治理体系和治理能力现代化,加快建设中国特色社会主义法治体系
D. 坚持和完善统筹城乡的民生保障制度和共建共治共享的社会治理制度,完善体现效率、促进公平的收入分配体系
E. 坚持和完善繁荣发展社会主义先进文化的制度,确立和坚持马克思主义在意识形态领域指导地位的根本制度
【答案】A B C D E -
全面深化改革开放是涉险滩、闯难关的变革,必须__。
A. 勇于破除一切不合时宜的思维定势和固有观念,深入贯彻新理念新思想新战略
B. 勇于破解我国开放型经济体制建设中的突出问题,积极适应经济全球化新趋势、世界格局新变化和我国发展新要求
C. 勇于跳出条条框框限制,破除深层次体制机制障碍和顽瘴痼疾,构建系统完备、科学规范、运行有效的制度体系
D. 勇于打破部门利益、行业利益、本位思想,坚持服从国家整体利益、服务改革发展稳定大局
【答案】A B C D -
全面从严治党永远在路上,党的__永远在路上。
A. 机遇和挑战
B. 制度建设
C. 社会建设
D. 自我革命
【答案】D -
全面建设社会主义现代化国家、全面推进中华民族伟大复兴,动力在于()。
A. 团结奋斗
B. 全面深化改革开放
C. 自力更生
D. 斗争精神
【答案】B -
全面深化改革的总目标是()。
A. 赋予社会主义新的生机活力,推进国家治理体系和治理能力现代化
B. 推进国家治理体系和治理能力现代化
C. 进一步解放思想、发展社会生产力
D. 完善和发展中国特色社会主义制度,推进国家治理体系和治理能力现代化
【答案】D -
全面深化改革开放是完成新时代目标任务的必然要求,是因为__。
A. 产业结构不合理,发展方式依然粗放
B. 科技创新能力不强
C. 城乡区域发展差距和居民收入分配差距依然较大
D. 发展中不平衡、不协调、不可持续问题依然突出
【答案】A B C D -
全面从严治党不断深化,党的__能力显著增强,管党治党宽松软状况得到根本扭转,反腐败斗争取得压倒性胜利并全面巩固。
A. 自我净化
B. 自我完善
C. 自我革新
D. 自我提高
【答案】A B C D -
全面深化改革开放必须坚持的正确方法包括__。
A. 胆子要大,步子要稳
B. 统筹改革发展稳定
C. 坚持重大改革于法有据
D. 增强改革的系统性、整体性、协同性
E. 加强顶层设计和摸着石头过河相结合
【答案】A B C D E -
全面依法治国的唯一正确道路是__。
A. 中国特色社会主义政治发展道路
B. 中国特色社会主义道路
C. 中国特色社会主义法治道路
D. 中国特色社会主义法制道路
【答案】C -
全面依法治国必须正确处理__的关系。
A. 政治和法治
B. 依法治国和以德治国
C. 改革和法治
D. 依法治国和依规治党
【答案】A B C D -
全面依法治国是__。
A. 完善和发展中国特色社会主义制度、推进国家治理体系和治理能力现代化的重要方面
B. “四个全面”战略布局之一
C. 坚持和发展中国特色社会主义的本质要求和重要保障
D. 国家治理的一场深刻革命,关系党执政兴国,关系人民幸福安康
【答案】A B C D -
全面贯彻新时代党解决台湾问题的总体方略,必须__。
A. 坚持一个中国原则和“九二共识”
B. 坚持党中央对对台工作的集中统一领导
C. 坚持在祖国大陆发展进步基础上解决台湾问题
D. 坚持在中华民族伟大复兴进程中推进祖国统一
E. 坚持“和平统一、一国两制”基本方针
【答案】A B C D E -
全面从严治党是一项管党治党的系统工程,要__。
A. 坚持对象上全覆盖,面向党的各级组织和全体党员
B. 坚持制度上全贯通,把制度建设要求体现到全面从严治党全过程
C. 坚持责任上全链条,让每名党员、干部行使应有权利、履行应尽责任
D. 坚持内容上全涵盖,党的建设推进到哪里,全面从严治党体系就要构建到哪里
【答案】A B C D -
全面从严治党,“要害在治”,就是__。
A. 敢于瞪眼黑脸,勇于执纪问责
B. 要真正解决问题、切实担起责任
C. 从党中央到地方各级党委,从中央部委、国家机关部门党组(党委)到基层党支部,都要担负起主体责任
D. 坚持标本兼治,拔“烂树”、治“病树”、正“歪树”,实现管党治党真正从宽松软走向严紧硬
E. 各级纪委要担负起监督责任
【答案】A B C D E
RM(人民)
-
人民军队必须牢固树立__这个唯一的根本的标准。
A. 军事改革
B. 战斗力
C. 军事创新
D. 政治建军
【答案】B -
人民代表大会制度__。
A. 坚持中国共产党领导,有效保证国家沿着社会主义道路前进
B. 把党的领导、人民当家作主、依法治国有机统一起来,有效保证国家治理跳出治乱兴衰的历史周期率
C. 正确处理事关国家前途命运的一系列重大政治关系,实现国家统一高效组织各项事业,维护国家统一和民族团结
D. 坚持国家一切权力属于人民,最大限度保障人民当家作主
E. 有效保证国家政治生活既充满活力又安定有序
【答案】A B C D E -
人民安全居于中心地位,国家安全归根结底是保障__。
A. 经济发展
B. 领土完整
C. 人民利益
D. 社会稳定
【答案】C
SD(是党)
-
__是党和人民历经千辛万苦、付出巨大代价取得的根本成就,是实现中华民族伟大复兴的必由之路。
A. 中国特色社会主义
B. 改革开放
C. 中国式现代化
D. 社会主义现代化
【答案】A -
__是党的建设的一贯要求和根本方针。
A. “四个意识”和“两个维护”
B. 勇于自我革命
C. 党要管党、从严治党
D. 与时俱进
【答案】C -
()是党的领导的最高原则,是党保持团结统一和强大战斗力的关键所在。
A. 实事求是
B. 党中央集中统一领导
C. 群众路线
D. 民主集中制
【答案】B -
__是党的基础性建设。
A. 思想建设
B. 制度建设
C. 政治建设
D. 作风建设
【答案】A -
__是党的政治建设的首要任务。
A. 贯彻“四个全面”
B. 保证全党服从中央,维护党中央权威和集中统一领导
C. 学习贯彻习近平新时代中国特色社会主义思想
D. 增强“四个意识”
【答案】B
SG(是国 / 是工 / 是更)
-
__是“国之大者”。
A. 让人民生活幸福
B. 实现社会主义现代化
C. 人才辈出
D. 建立强大的军队
【答案】A -
__是工业文明发展到一定阶段的产物,是人类社会进步的重大成果。
A. 农业文明
B. 政治文明
C. 生态文明
D. 人类文明
【答案】C -
()是国家的生命线、人民的幸福线。
A. 党的群众路线
B. 党的基本路线
C. 党的基本理论
D. 党的基本方略
【答案】B -
()是更基础、更广泛、更深厚的自信,是一个国家、一个民族发展中最基本、最深沉、最持久的力量。
A. 道路自信
B. 理论自信
C. 文化自信
D. 制度自信
【答案】C -
__是国家治理体系和治理能力的重要依托。
A. 人民
B. 党的领导
C. 民主
D. 法治
【答案】D
SH(是核 / 社会)
-
__是核心战斗力,是军事发展中最活跃、最具革命性的因素。
A. 改革
B. 经济
C. 科技
D. 文化
【答案】C -
社会主义基本经济制度包括__。
A. 按劳分配为主体、多种分配方式并存
B. 社会主义市场经济体制
C. 公有制为主体、多种所有制经济共同发展
D. 人民代表大会制度
【答案】A B C -
社会主义核心价值观集中体现着全体人民共同的价值追求,是凝聚人心、汇聚民力的强大力量。要广泛学习、宣传和实践社会主义核心价值观,注重全方位贯穿、深层次融入,使践行__成为全体人民自觉行动。
A. 理想信念、价值理念、道德观念
B. 社会主义核心价值观
C. 中华优秀传统文化
D. 社会主义核心价值体系
【答案】B
SJ(是近 / 是坚 / 世界)
-
__是近代以来中国人民的共同梦想,是中国共产党矢志不渝的奋斗目标。
A. 中国特色社会主义
B. 国家富强民族振兴
C. 社会主义现代化建设
D. 实现中华民族伟大复兴
【答案】D -
()是坚持和发展中国特色社会主义的行动指南。
A. 党的基本理论
B. 党的基本方略
C. 党的基本原则
D. 党的基本路线
【答案】A -
世界未有之大变局正在加速演变。()仍然是时代主题,但是不稳定不确定性更加突出。
A. 和平与融合
B. 和平与发展
C. 发展与共享
D. 开放与包容
【答案】B
SS(十四)
- “十四个坚持”是()。
A. 习近平新时代中国特色社会主义思想的重要组成部分,是在治国理政各方面作出的理论分析和政策指导
B. 对新时代伟大实践进行了科学总结
C. 是实现“两个一百年”奋斗目标、实现中华民族伟大复兴中国梦的“路线图”和“方法论”
D. 赋予了马克思主义世界观和方法论以新的时代内涵
【答案】C
ST(是推 / 生态 / 是统)
-
__是推进现代化最坚实的根基、最深厚的力量。
A. 中华文明
B. 人民
C. 中国共产党的领导
D. 文化
【答案】B -
生态环境问题,归根到底是__造成的。
A. 奢侈消费
B. 粗放利用
C. 资源过度开发
D. 生态腐败
【答案】A B C -
__是统一的政治基础。
A. 坚持一个中国原则和“九二共识”
B. 协商解决两岸同胞关心的问题
C. 继续推进两岸“三通”
D. 促进两岸人文交流
【答案】A -
生态环境问题归根到底是__问题。
A. 生活方式
B. 教育方式
C. 经济发展方式
D. 社会发展方式
【答案】C D
SW(是我)
- __是我国发展新的历史方位,标志着中国特色社会主义事业进入了新的发展阶段。
A. 新时期
B. 新发展
C. 新阶段
D. 新时代
【答案】D
SX(是新)
-
__,是新的时代条件下坚持和发展中国特色社会主义、推进改革开放和社会主义现代化建设的战略抉择。
A. “十个明确”
B. “五位一体”总体布局
C. “十四个坚持”
D. “四个全面”战略布局
【答案】D -
__是新时代坚持和发展中国特色社会主义的根本立场,是贯穿党治国理政全部活动的一条红线。
A. 坚持和发展中国特色社会主义
B. 把马克思主义基本原理与中国实际相结合
C. 坚持以人民为中心
D. “五位一体”总体布局
【答案】C -
()是新时代中国共产党的思想旗帜,是新时代党和国家事业发展的根本遵循。
A. 习近平文化思想
B. 习近平经济思想
C. 习近平法治思想
D. 习近平新时代中国特色社会主义思想
【答案】D
SY(是引)
- __是引领发展的第一动力。
A. 科技
B. 资本
C. 劳动力
D. 创新
【答案】D
SZ(是中 / 使中 / 始终 / 是最)
-
__是中国特色社会主义最本质的特征,是中国特色社会主义制度的最大优势。
A. 人民当家作主
B. 社会主义现代化
C. 中国共产党领导
D. 全体人民共同富裕
【答案】C -
__是中国特色社会主义最本质的特征。
A. 以经济建设为中心
B. 以人为本、执政为民
C. 中国共产党的领导
D. “五位一体”总体布局
【答案】C -
__使中国社会焕发出强大的生机活力,我国用几十年时间走完了发达国家几百年走过的工业化历程,创造了经济快速发展和社会长期稳定两大奇迹,极大改变了中国的面貌、中华民族的面貌、中国人民的面貌、中国共产党的面貌,中华民族以崭新姿态屹立于世界的东方。
A. 新中国
B. 人民群众
C. 改革开放
D. 中国共产党
【答案】C -
__始终是党的生命线和根本工作路线,是我们党永葆青春活力和战斗力的重要传家宝。
A. 经济路线
B. 人民立场
C. 群众路线
D. 政治立场
【答案】C -
__是中国共产党夺取革命、建设、改革事业胜利的重要法宝,也是实现中华民族伟大复兴的重要法宝。
A. 协商民主
B. 统一战线
C. 全过程人民民主
D. 基层民主
【答案】B -
__是中国特色社会主义最本质的特征,是社会主义法治最根本的保证。
A. 中国特色社会主义制度
B. 严密的法治监督体系
C. 全面深化改革
D. 党的领导
【答案】D -
()是中国共产党和中国人民最显著的精神标识,是中国人民创造历史伟业的必由之路。
A. 自力更生
B. 团结奋斗
C. 中国精神
D. 斗争精神
【答案】B -
__是最大的民生工程、民心工程、根基工程,必须抓紧抓实抓好。
A. 生活水平
B. 就业
C. 生产
D. 共同富裕
【答案】B
TD(推动)
- 推动构建新型国际关系,就是要秉持相互尊重、公平正义、__原则,走出一条对话而不对抗、结伴而不结盟的国与国交往新路。
A. 开放包容
B. 合作共赢
C. 人类文明
D. 经济发展
【答案】B
TJ(推进)
- 推进中国式现代化,必须坚持__,坚持道不变、志不改,既不走封闭僵化的老路,也不走改旗易帜的邪路,始终坚持和发展中国特色社会主义。
A. 坚持四项基本原则
B. 坚持改革开放
C. 以经济建设为中心
D. 坚持独立自主、自力更生
【答案】A B C D
TZ(统战)
- 统战工作的关键是要__,发扬“团结—批评—团结”的优良传统,在尊重多样性中寻求一致性,找到最大公约数、画出最大同心圆。
A. 坚持多样性
B. 坚持党的领导
C. 坚持同一性
D. 坚持求同存异
【答案】D
WG(我国)
-
我国经济已由高速增长阶段转向__,正处在转变发展方式、优化经济结构、转换增长动力的攻关期。
A. 高水平发展阶段
B. 低速阶段
C. 中高速阶段
D. 高质量发展阶段
【答案】D -
我国国防和军队建设“新三步走”战略安排是__。
A. 到本世纪中叶,把人民军队全面建成世界一流军队
B. 到2027年,实现建军一百年奋斗目标
C. 到2050年,全面实现军事作战无人化、智能化
D. 到2035年,基本实现国防和军队现代化
【答案】A B D -
我国基层民主有多种多样的形式,如__。
A. 以社区居民委员会为组织形态的城市居民自治
B. 以上都对
C. 以村民委员会为组织形态的农村村民自治
D. 以职工代表大会为组织依托的企事业单位职工自治
【答案】B -
我国进入了一个()。
A. 新发展方位
B. 新发展格局
C. 新发展阶段
D. 新发展时期
【答案】C -
我国非公有制经济是__。
A. 国家税收的重要来源
B. 稳定经济的重要基础
C. 经济持续健康发展的重要力量
D. 社会主义市场经济的重要组成部分
E. 就业创业的重要领域
【答案】A B C D E -
我国走和平发展道路,是__。
A. 对国际社会关注中国发展走向的回应
B. 符合历史潮流、顺应世界大势的正确选择
C. 中国人民对实现自身发展目标的自信和自觉
D. 基于中国历史文化传统作出的必然选择
E. 由中国共产党性质宗旨和我国社会主义制度决定的
【答案】A B C D E -
我国独立自主的和平外交政策的内容包括__。
A. 尊重各国主权和领土完整,尊重各国人民选择的发展道路和社会制度
B. 始终根据事情本身的是非曲直决定自己的立场和政策
C. 奉行防御性的国防政策,永远不称霸、永远不搞扩张
D. 反对冷战思维,反对干涉别国内政,反对搞双重标准
E. 坚决反对一切形式的霸权主义和强权政治
【答案】A B C D E
WH(维护)
-
维护党中央权威和集中统一领导,最关键的是__。
A. 严明政治纪律
B. 坚决维护习近平同志党中央的核心、全党的核心地位
C. 修改党章,加强党中央权力
D. 实行民主集中制
【答案】B -
维护意识形态安全,就是要毫不动摇__,不断巩固全党全国人民团结奋斗的共同思想基础。
A. 落实意识形态工作责任制
B. 把意识形态工作的领导权、管理权、话语权牢牢掌握在党的手中
C. 坚持和巩固马克思主义在意识形态领域的指导地位
D. 及时掌握意识形态形势和动态
【答案】C -
维护制度安全,就是要毫不动摇__。
A. 推进国家治理体系和治理能力现代化
B. 坚持和完善中国特色社会主义制度
C. 坚持和完善人民代表大会制度
D. 全面深化改革
【答案】B
WM(我们)
-
我们党的最大政治优势是__。
A. 走中国特色社会主义道路
B. 密切联系群众
C. 人多力量大
D. 党领导一切
【答案】B -
我们将秉持__的全球治理观,积极参与全球治理体系改革和建设。
A. 合作共赢
B. 相互尊重
C. 共商共建共享
D. 公平正义
【答案】C -
我们党的最大政治优势是密切联系群众,党执政后的最大危险是()。
A. 改革出问题
B. 消极腐败
C. 没有坚持公有制的主体地位
D. 脱离群众
【答案】D -
我们要统揽__,勠力同心、接力奋斗,用实干托起中国梦。
A. 伟大梦想
B. 伟大斗争
C. 伟大工程
D. 伟大事业
【答案】A B C D -
我们党领导人民完成了__的主要任务,为实现中华民族伟大复兴提供了重要基础和保证。
A. 新民主主义革命时期
B. 社会主义革命和建设时期
C. 改革开放和社会主义现代化建设新时期
D. 中国特色社会主义新时代
【答案】A B C D
WS(完善)
- 完善分配制度,要做到__。
A. 加大税收、社保、转移支付等的调节力度
B. 构建初次分配、再分配、第三次分配协调配套的制度体系
C. 努力提高劳动报酬在初次分配中的比重,健全工资合理增长机制
D. 探索通过土地、资本等要素使用权、收益权增加中低收入群体要素收入
E. 不断壮大中等收入群体
【答案】A B C D E
XD(现代)
-
现代化经济体系必须坚持质量第一、__优先。
A. 利益
B. 速度
C. 人才
D. 效益
【答案】D -
现代化强国,必定是__。
A. 教育强国
B. 劳动力大国
C. 人才强国
D. 科技强国
【答案】A C D
XF(新发)
-
新发展阶段是__。
A. 中国共产党带领人民迎来从站起来、富起来到强起来历史性跨越的新阶段
B. 决胜全面小康社会的阶段
C. 全面建设社会主义现代化国家、向第二个百年奋斗目标进军的重要阶段
D. 我国社会主义初级阶段历史进程中的一个重要阶段
【答案】A C D -
新发展理念具有丰富的科学内涵和具体的实践要求:__。
A. 创新是引领发展的第一动力,注重解决发展动力问题
B. 协调是持续健康发展的内在要求,注重解决发展不平衡问题
C. 绿色是永续发展的必要条件,注重解决人与自然和谐共生问题
D. 开放是国家繁荣发展的必由之路,注重解决发展内外联动问题
E. 共享是中国特色社会主义的本质要求,注重解决社会公平正义问题
【答案】A B C D E
XJ(习近)
-
习近平指出:一定要认清,中国最大的国情就是__。什么是中国特色?这就是中国特色。
A. 人口14亿
B. 人均GDP世界第二
C. 中国共产党的领导
D. 吃饭是个天大的问题
【答案】C -
习近平指出:绿色发展,就其要义来讲,是要解决好__问题。
A. 人与自然和谐共生
B. 生态环境保护
C. 美丽中国建设
D. 生物多样性
【答案】A -
习近平新时代中国特色社会主义思想创立的时代背景是__。
A. 世界百年未有之大变局加速演进
B. 我国经济高速发展
C. 新时代中国正处于中华民族伟大复兴的关键时期
D. 中国成为世界领导角色
【答案】A C -
习近平新时代中国特色社会主义思想的主要内容包括__。
A. “十三个方面成就”
B. “十四个坚持”
C. “六个必须坚持”
D. “十个明确”
【答案】A B D
(“十个明确”侧重理论层面;“十四个坚持”侧重实践层面;“十三个方面成就”系统总结了新时代伟大实践成果。) -
(),习近平在庆祝中国共产党成立100周年大会上庄严宣告:“经过全党全国各族人民持续奋斗,我们实现了第一个百年奋斗目标,在中华大地上全面建成了小康社会,历史性地解决了绝对贫困问题,正在意气风发向着全面建成社会主义现代化强国的第二个百年奋斗目标迈进。”
A. 2018年7月1日
B. 2021年7月1日
C. 2019年7月1日
D. 2022年7月1日
【答案】B -
习近平指出,“我们讲宗旨,讲了很多话,但说到底还是()这句话。”
A. 以人民为中心
B. 为人民服务
C. 群众路线是根本工作路线
D. 坚持人民主体地位
【答案】B -
习近平新时代中国特色社会主义思想回答了__等重大时代课题。
A. 新时代坚持和发展什么样的中国特色社会主义、怎样坚持和发展中国特色社会主义
B. 建设什么样的社会主义现代化强国、怎样建设社会主义现代化强国
C. 建设什么样的长期执政的马克思主义政党、怎样建设长期执政的马克思主义政党
【答案】A B C -
习近平总书记强调,谁牵住了__这个“牛鼻子”,谁就能占领先机、赢得优势。
A. 科技创新
B. 思想创新
C. 制度创新
D. 文化创新
【答案】A
XS(新时)
-
新时代人民军队使命任务是__。
A. 为巩固中国共产党领导和我国社会主义制度提供战略支撑
B. 为捍卫国家主权、统一和领土完整提供战略支撑
C. 为维护我国海外利益提供战略支撑
D. 为促进世界和平与发展提供战略支撑
【答案】A B C D -
新时代党的建设总要求是:坚持和加强党的全面领导,坚持党要管党、全面从严治党,以__为主线,以__为统领,以__为根基,以__为着力点,全面推进党的政治建设、思想建设、组织建设、作风建设、纪律建设,把制度建设贯穿其中,深入推进反腐败斗争,不断提高党的建设质量,把党建设成为始终走在时代前列、人民衷心拥护、勇于自我革命、经得起各种风浪考验、朝气蓬勃的马克思主义执政党。
A. 加强党的长期执政能力建设、先进性和纯洁性建设
B. 党的政治建设
C. 坚定理想信念宗旨
D. 调动全党积极性、主动性、创造性
E. 党风廉政建设
【答案】A B C D -
新时代我国社会主要矛盾的变化,是在社会主义初级阶段中发生的变化,()对我国社会主义所处历史阶段的判断。
A. 正在进行
B. 没有改变
C. 未能进行
D. 已经改变
【答案】B -
新时代中国正处于中华民族伟大复兴的关键时期,因为__。
A. 面临着许多前所未有的困难和问题,战略机遇和风险挑战并存
B. 以习近平同志为核心的党中央深刻把握中华民族伟大复兴战略全局
C. 社会主要矛盾发生历史性变化,我们具备良好发展条件
【答案】A B C
XX(新形 / 新型)
-
新形势下党执政面临的“四大危险”包括精神懈怠危险、__。
A. 能力不足危险
B. 脱离群众危险
C. 消极腐败危险
D. 动力不足考验
【答案】A B C -
新型国际关系的内容是__。
A. 公平正义
B. 相互尊重
C. 合作共赢
D. 对抗共处
【答案】A B C
YB(要把)
-
要把握新的伟大斗争的历史特点,__,增强斗争本领,凝聚起全党全国各族人民的意志和力量,全力战胜一切可以预见和难以预见的风险挑战。
A. 坚定初心使命
B. 发扬斗争精神
C. 坚持人民至上
D. 坚持马克思主义
【答案】B -
要把__摆在国家发展全局的突出位置,顺应时代发展要求,不断开辟发展新领域新赛道,不断塑造发展新动能新优势。
A. 人民
B. 创新
C. 发展
D. 经济建设
【答案】B
YD(应对)
- 应对生态环境挑战,必须摒弃“单边主义”“极端利己主义”“甩锅推责”,打造__的全球生态治理体系。
A. 多元共治
B. 携手合作
C. 命运与共
D. 美丽世界
【答案】A
YG(一国)
- “一国两制”是一个完整的概念。“一国”是实行“两制”的__,“两制”从属和派生于“一国”并统一于“一国”之内。
A. 目标和原则
B. 方向和路径
C. 前提和基础
D. 结果和目标
【答案】C
YK(依靠)
- 依靠人民创造历史伟业,必须__。
A. 尊重人民首创精神
B. 总结、概括人民群众实践中形成的新鲜经验
C. 激发人民群众的创新创造活力
D. 尊重人民主体地位
【答案】A B C D
YP(鸦片)
- 鸦片战争以后,中国逐步成为半殖民地半封建社会,__成为中国人民的历史任务。为了完成这一历史任务,无数仁人志士前仆后继、苦苦求索。以毛泽东同志为主要代表的中国共产党人,把马克思列宁主义基本原理同中国具体实际相结合,提出经过新民主主义革命走向社会主义的正确理论,为中国革命指明了方向。
A. 争取民族独立、社会发展
B. 争取民族独立、人民解放
C. 实现国家富强、人民幸福
D. 实现国家富强、世界大同
【答案】B
YR(与人)
- __与人民群众切身利益关系最密切,是人民群众安全感的晴雨表,是社会安定的风向标。
A. 经济安全
B. 政治安全
C. 文化安全
D. 社会安全
【答案】D
YS(意识)
- 意识形态__。
A. 关乎旗帜
B. 关乎道路
C. 决定文化前进方向和发展道路
D. 关乎国家政治安全
【答案】A B C D
YX(以下 / 以习)
-
以下说法正确的是,文化繁荣兴盛是__。
A. 建设社会主义现代化强国的应有之义
B. 实现中华民族伟大复兴的精神支撑
C. 满足人民日益增长的美好生活需要的内在要求
D. 在世界文化激荡中站稳脚跟的前提基础
【答案】A B C D -
以习近平同志为核心的党中央坚定不移坚持和加强党的全面领导,坚定不移推进全面从严治党,深入推进新时代党的建设新的伟大工程,党找到了__这一跳出治乱兴衰历史周期率的第二个答案,管党治党宽松软状况得到根本扭转,我们这个世界上最大的马克思主义执政党更加团结统一、更加坚强有力。
A. 新发展理念
B. 总体国家安全观
C. 自我革命
D. 自我完善
【答案】C
ZD(制度)
- 制度的生命力在于执行,关键在__,靠的是严管。
A. 执行
B. 监督
C. 保障
D. 真抓
【答案】D
ZG(中国 / 走过)
-
中国共产党为什么能,中国特色社会主义为什么好,归根到底是马克思主义行,是__。
A. 中国化时代化的马克思主义行
B. 中国式现代化行
C. 中华民族伟大复兴战略行
D. 人类社会发展规律行
【答案】A -
中国共产党人用自己的实践、奋斗和精神,不断揭示着__的必然趋势,不断展现着社会主义制度的优越性和共产主义的光明前景。
A. 人类文明进步
B. 人类社会发展
C. 世界和平发展
D. 不同社会制度选择
【答案】B -
走过百年奋斗历程的中国共产党在革命性锻造中更加坚强有力,党的__显著增强,党同人民群众始终保持血肉联系。
A. 思想引领力
B. 群众组织力
C. 社会号召力
D. 政治领导力
【答案】A B C D -
走过百年奋斗历程的中国共产党在革命性锻造中更加坚强有力,党的__显著增强。
A. 群众组织力
B. 政治领导力
C. 社会号召力
D. 思想引领力
【答案】A B C D -
中国共产党作为最高政治领导力量,在党和国家事业发展中居于中心地位。党的领导是__,必须贯穿到治国理政的方方面面。
A. 整体的
B. 全面的
C. 系统的
D. 规范的
【答案】A B C -
中国特色大国外交建立在正确的__基础之上。
A. 角色观
B. 国际观
C. 大局观
D. 历史观
【答案】A C D -
中国共产党区别于其他政党的显著标志是()。
A. 促进高质量发展
B. 勇于自我革命
C. 人民立场
D. 深化改革
【答案】C -
中国特色社会主义的总体布局是()。
A. “五位一体”
B. “四位一体”
C. “三位一体”
D. “六位一体”
【答案】A -
中国特色大国外交要坚持的原则要求是__。
A. 坚持和加强党对对外工作的集中统一领导
B. 坚持以相互尊重、合作共赢为基础走和平发展道路
C. 坚持以公平正义为理念引领全球治理体系改革
D. 坚持以中国特色社会主义为根本增强战略自信
E. 坚持以国家核心利益为底线维护国家主权、安全、发展利益
【答案】A B C D E
ZH(中华)
- 中华民族之所以一次次凤凰涅槃、浴火重生,一个很重要的原因就是博大精深、灿烂辉煌的__具有强大的生命力、凝聚力、创造力。
A. 社会主义经济
B. 中华文化
C. 社会主义法律
D. 资本主义文化
【答案】B
ZL(铸牢)
- 铸牢中华民族共同体意识,就要__。
A. 引导各族群众牢固树立正确的祖国观、民族观、文化观、历史观
B. 建设各民族共有精神家园,促进各民族共同繁荣共同发展
C. 正确把握共同性和差异性的关系、中华民族共同体意识和各民族意识的关系、中华文化和各民族文化的关系
D. 引导各族人民牢固树立休戚与共、荣辱与共、命运与共的共同体理念
【答案】A B C D
ZQ(在全)
- 在全面深化改革中,要增强改革的__。
A. 协同性
B. 整体性
C. 系统性
D. 同一性
【答案】A B C
ZS(这是)
- __这是重要的发展理念,也是推进现代化建设的重大原则。
A. 绿水青山就是金山银山
B. 人与自然和谐共生
C. 山水林田湖草沙治理
D. 生态文明建设
【答案】A
ZT(在脱 / 总体)
-
在脱贫攻坚战中,推进“五个一批”工程,即__。
A. 易地搬迁脱贫一批
B. 社会保障兜底一批
C. 发展教育脱贫一批
D. 发展生产脱贫一批
E. 生态补偿脱贫一批
【答案】A B C D E -
总体国家安全观以__为基础,加强经济安全风险预警、防控机制和能力建设。
A. 经济安全
B. 国内安全
C. 国际安全
D. 国土安全
【答案】A
ZX(在新)
-
在新时代国家改革开放进程中,香港、澳门应该如何抓住发展机遇,更好融入国家发展大局。__
A. 积极主动参与粤港澳大湾区建设
B. 积极主动促进国际人文交流
C. 积极主动助力国家全面开放
D. 积极主动参与国家治理实践
【答案】A B C D -
在新中国成立特别是改革开放以来取得重大成就的基础上,我国发展站在了新的历史起点上,社会主要矛盾已转化为()。
A. 人民日益增长的幸福生活需要和不充分不平衡的发展之间的矛盾
B. 人民日益增长的幸福生活需要和不平衡不充分的发展之间的矛盾
C. 人民日益增长的美好生活需要和不平衡不充分的发展之间的矛盾
D. 人民日益增长的美好生活需要和不充分不平衡的发展之间的矛盾
【答案】C
ZZ(走中 / 政治)
-
走中国特色社会主义政治发展道路,必须坚持__有机统一。
A. 推进国家治理体系和治理能力现代化
B. 巩固和发展最广泛的爱国统一战线
C. 党的领导
D. 人民当家作主,依法治国
【答案】C D -
政治安全与人民安全、国家利益至上的关系是__。
A. 要把政治安全、人民安全、国家利益至上三者统一起来,确保实现党的长期执政、人民安居乐业、国家长治久安
B. 人民安全居于中心地位,国家安全归根到底是保障人民利益
C. 国家利益至上是实现政治安全和人民安全的要求和原则
D. 政治安全是维护人民安全和国家利益的根本保证
【答案】A B C D
通用学术英语B
“期末考试可以复习的范围,就是我们阅读教程学的几篇text A,会从课文中选取段落考查,2个题型,一是英译中,20分,二是选词填空,10分。”
2025-2026学年秋季学期期末考试通用学术英语B试卷题型
Part I. Listening Comprehension (每题2分,共20分)
(完成10道选择题)
Part II. Reading Comprehension (共30分)
(1篇快速阅读,每题1分,共10分;2篇常规阅读,每题2分,共20分)
PartIII. Blank-filling (每题1分,共10分)
(课文段落选段,选词填空)
Part IV. Passage Translation (共20分)
(课文段落翻译,英译中)
Part V. Writing (共20分)
(与四级作文难度相当)